<h2>
<u>QUESTION</u><u>:</u></h2>
Determine the solution to the system. Explain students steps to solving the systems of equations.
- A).-1
- B).3
- C).(-1,3)
- D).(3,-1)


<u>ᴇǫᴜᴀᴛɪᴏɴs</u><u>:</u>
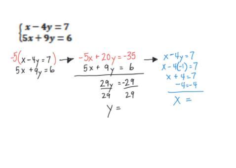
1️⃣➤x -4y = 7
2️⃣➤5x + 9y = 6


x and y values .




➠Here the elimination method is used as it is in the form of
<h2> <u> </u><u> </u><u>Ɑx + Ɓყ = Ƈ</u> , </h2>
where the two variables are unknown


➠<em>The two equations are added or subtracted to get one unknown value and later the identified value is substituted in either of the equation in order to get the another unknown value</em>

<u>ʙʏ ᴇʟɪᴍɪɴᴀᴛɪᴏɴ ᴍᴇᴛʜᴏᴅ</u><u> </u><u>:</u>
1️⃣➤x -4y = 7
2️⃣➤5x + 9y = 6

➠First equation is multiplied with the suitable number in order to get any of the x or y values cancelled
then,


1️⃣ ×-5➤-5x +20y = -35
2️⃣ ➤ 5x +9y = 6
___________________
➺29y = -29
➺y =- 29/29



Now,


➠ the identified value is substituted in either of the equation in order to get the another unknown value


1️⃣➤x -4y = 7
➺x - 4(-1) = 7
➺x +4 = 7
➺x = 7-4

____________________________