They are equivalent. combine like terms on the first one and 9x-4x+25 can be simplified to 5x+25.
Set them into slope-intercept forms of equations then set those equations equal to each other and solve for x and y. y = 34x - 5 and y = -14x+3. Set those equal to each other, solve for x to get x = 1/6. Sub in that x value to get y = 2/3. The point where they intersect is the solution of the system; in other words, where on both lines we have the exact same (x, y) value.
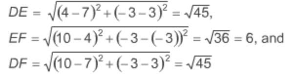
9514 1404 393
Answer:
(b) One figure is a rotation image of the other
Step-by-step explanation:
The axis of symmetry is horizontal for the left figure, and vertical for the right figure. The right figure has been rotated 90° CW from the left figure.
Answer:

Step-by-step explanation:



Answer:
yes
Step-by-step explanation:
solve for x by simplifying both sides of the equation, then isolating the variable.
x = 8