1answer.
Ask question
Login Signup
Ask question
All categories
  • English
  • Mathematics
  • Social Studies
  • Business
  • History
  • Health
  • Geography
  • Biology
  • Physics
  • Chemistry
  • Computers and Technology
  • Arts
  • World Languages
  • Spanish
  • French
  • German
  • Advanced Placement (AP)
  • SAT
  • Medicine
  • Law
  • Engineering
Anastasy [175]
3 years ago
10

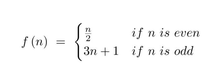
Plz, solve this teacher put this on worksheet help!!

Mathematics
2 answers:
yKpoI14uk [10]3 years ago
8 0
I need this too. when you get the answer will you please let me know. thank you
topjm [15]3 years ago
5 0

Answer:

Step-by-step explanation:

You might be interested in
What is the area of 5m, 17m, 8m, and 5m, the shape is a kite
Andrei [34K]

Answer:

It can't be a kite. A kite has 2 pairs of equal sides.

Step-by-step explanation:

4 0
3 years ago
What is the next step to solve this equation?<br> 3x - 5 = 7
Ronch [10]

Answer:

Find the value of x the value is x=4

3x4=12

12-5=7

Step-by-step explanation:

8 0
3 years ago
Read 2 more answers
PLEASE HELP IM STUCK
kkurt [141]

Answer:

y= 2x + 10

Step-by-step explanation:

The variable depends on the $2 so, the green box should be 2

4 0
2 years ago
Three more than 8 times a number is 29. Find the number.
yanalaym [24]
Well, first off, to solve for this, we can write the expression and then solve from there.
Expression: 8x + 3 = 29
So, now that we have our expression, we can solve for our missing number using the balancing method.
8x + 3 = 29
8x + 3 - 3 = 29 - 3 (we subtracted the three because we needed to get rid of the three on the left side of the equation do now we are just left with 8x = 26.
8x = 26
8x/8 = 26/8. (So, the 8 on the left side cancels out and we are just left with X.
X = 26/8
X = 13/4
X = 3 and 1/4
So, in conclusion, the answer to this question is: X = 3 and 1/4 as a mixed number or 13/4 as an improper fraction.
Glad I could help!


8 0
3 years ago
Help me please help ​
Dmitry_Shevchenko [17]
That would be A :D It would be A because you would do keep change flip. You would keep 5/6, change the division sign to multiplication, then flip the 5/16 to 16/5 (the reciprocal)
7 0
3 years ago
Other questions:
  • Snow is melting from the sun's rays. if its hight changes by -3/17 every hour, how much change will there be in 6 hours?
    5·1 answer
  • Estimate. Then find the difference.<br><br> 253,495-48,617=
    15·2 answers
  • Find an equation of a plane containing the line r = ⟨−5, 1, 0⟩ + t ⟨7, −8, 4⟩ which is parallel to the plane 4x + 1y −5z = −24.
    5·1 answer
  • You want to determine if eating more fruit reduces a person's chance of developing cancer. You watch people over the years and a
    9·1 answer
  • 8/10
    9·1 answer
  • A toy store marks down every toy by 15% in January. How much does a toy cost during January? Use p for the price in December.
    10·1 answer
  • Solve each system of inequalities by graphing. x&gt;2 y&lt;4​
    6·2 answers
  • Solve for x &amp; show steps<br><br> 2000 = 400√x
    7·1 answer
  • List the values of this inequality
    8·1 answer
  • How do you do long division? I've learned it before - but forgot. - ' ' . ​
    10·1 answer
Add answer
Login
Not registered? Fast signup
Signup
Login Signup
Ask question!