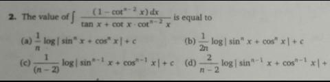
Step-by-step explanation:


As we know that,
We can write equation as,



![\sf \implies \displaystyle \int \bigg[ \dfrac{sin^{n - 2}x - cos^{n - 2} x}{sin^{n - 2} x} \times \dfrac{(cos x)(sin^{n - 1} x)}{(sin^{n} x + cos^{n} x)} \bigg] dx](https://tex.z-dn.net/?f=%5Csf%20%5Cimplies%20%5Cdisplaystyle%20%5Cint%20%5Cbigg%5B%20%5Cdfrac%7Bsin%5E%7Bn%20-%202%7Dx%20-%20cos%5E%7Bn%20-%202%7D%20%20x%7D%7Bsin%5E%7Bn%20-%202%7D%20x%7D%20%5Ctimes%20%5Cdfrac%7B%28cos%20x%29%28sin%5E%7Bn%20-%201%7D%20x%29%7D%7B%28sin%5E%7Bn%7D%20x%20%2B%20cos%5E%7Bn%7D%20x%29%7D%20%5Cbigg%5D%20dx)
![\sf \implies \displaystyle \int \bigg[ \dfrac{sin^{n - 2} x - cos^{n - 2}x }{\bigg(\dfrac{sin^{n - 1}x }{sin x} \bigg)} \times \dfrac{(cos x)(sin^{n - 1} x)}{(sin^{n}x + cos^{n} x) } \bigg] dx](https://tex.z-dn.net/?f=%5Csf%20%5Cimplies%20%5Cdisplaystyle%20%5Cint%20%20%5Cbigg%5B%20%5Cdfrac%7Bsin%5E%7Bn%20-%202%7D%20x%20-%20cos%5E%7Bn%20-%202%7Dx%20%20%7D%7B%5Cbigg%28%5Cdfrac%7Bsin%5E%7Bn%20-%201%7Dx%20%7D%7Bsin%20x%7D%20%5Cbigg%29%7D%20%5Ctimes%20%5Cdfrac%7B%28cos%20x%29%28sin%5E%7Bn%20-%201%7D%20x%29%7D%7B%28sin%5E%7Bn%7Dx%20%2B%20cos%5E%7Bn%7D%20x%29%20%7D%20%5Cbigg%5D%20dx)
![\sf \implies \displaystyle \int \bigg[ \dfrac{sin^{n - 2}x - cos^{n - 2} x }{sin^{n - 1} x} \times \dfrac{(cos x)(sin x)(sin^{n - 1}x) }{(sin^{n} x + cos^{n} x)} \bigg] dx](https://tex.z-dn.net/?f=%5Csf%20%5Cimplies%20%5Cdisplaystyle%20%5Cint%20%20%5Cbigg%5B%20%5Cdfrac%7Bsin%5E%7Bn%20-%202%7Dx%20-%20cos%5E%7Bn%20-%202%7D%20x%20%7D%7Bsin%5E%7Bn%20-%201%7D%20x%7D%20%5Ctimes%20%5Cdfrac%7B%28cos%20x%29%28sin%20x%29%28sin%5E%7Bn%20-%201%7Dx%29%20%7D%7B%28sin%5E%7Bn%7D%20x%20%2B%20cos%5E%7Bn%7D%20x%29%7D%20%5Cbigg%5D%20dx)
![\sf \implies \displaystyle \int \bigg[ \dfrac{(sin^{n - 2}x - cos^{n - 2}x) \times (cos x)(sin x) }{(sin^{n} x + cos^{n} x)} \bigg] dx](https://tex.z-dn.net/?f=%5Csf%20%5Cimplies%20%5Cdisplaystyle%20%5Cint%20%20%5Cbigg%5B%20%5Cdfrac%7B%28sin%5E%7Bn%20-%202%7Dx%20-%20cos%5E%7Bn%20-%202%7Dx%29%20%5Ctimes%20%28cos%20x%29%28sin%20x%29%20%20%7D%7B%28sin%5E%7Bn%7D%20x%20%2B%20cos%5E%7Bn%7D%20x%29%7D%20%5Cbigg%5D%20dx)
Now, Let we assume that,
⇒ sinⁿx + cosⁿx = t.
Differentiate w.r.t x, we get.
⇒ n⁻¹(sinⁿ⁻²x - cosⁿ⁻²x)(sin x cos x) = dt.
Put the values in the equation, we get.

Put the values of t = sinⁿx + cosⁿx in the equation, we get.

