2 answers:
Answer:
y=3,X= -4
Step-by-step explanation:
hope this helps
Answer: 
Step-by-step explanation:
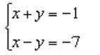
1) Add these equations to eliminate y: 
2a) Then solve
for x: 
2b) Divide both sides by 2: 
2c) 
3) Substitute
for
in
: 
4) Simplify both sides of the equation: 
5) Add 4 to both sides: 
6) Simplify: 
7) Write the point: 
You might be interested in
Answer:
10 boxes
Step-by-step explanation:
Take the number of fossils and divide by the number per box to determine the number of boxes
60/6 = 10
She needs 10 boxes
Answer:
6(y+1.5)=-18
6y+9=-18 -9
6y=-27 ÷6
y=-4.5
Step-by-step explanation:
prove me wrong
Answer:
3.28
Step-by-step
(3,18.85)
(2,12.57)
18.85-12.57/3-2=3.28
Good Job
And always keep your eyes on ur own paper