1answer.
Ask question
Login Signup
Ask question
All categories
  • English
  • Mathematics
  • Social Studies
  • Business
  • History
  • Health
  • Geography
  • Biology
  • Physics
  • Chemistry
  • Computers and Technology
  • Arts
  • World Languages
  • Spanish
  • French
  • German
  • Advanced Placement (AP)
  • SAT
  • Medicine
  • Law
  • Engineering
inessss [21]
2 years ago
15

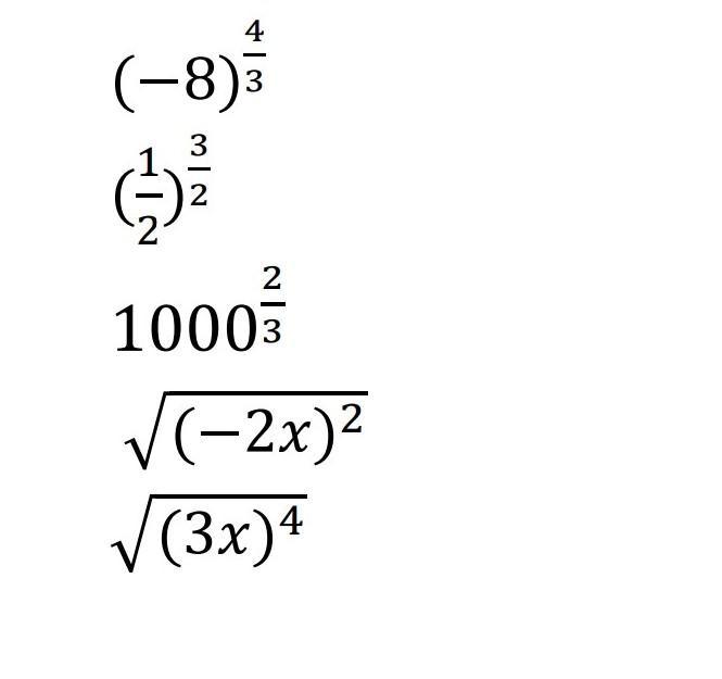
Evaluate the following and simplify if possible​

Mathematics
1 answer:
Rufina [12.5K]2 years ago
7 0

Refer to the attachment!!

You might be interested in
Please help! will give brainliest + 40 points
Komok [63]
To perform a 90° rotation clockwise around the origin, you take the coordinates of the point A(x, y) and transform them to A'(y, -x).  Since 180° and 270° are both "steps" of 90°, we can do this in succession and achieve our goal.
1) (5, 2) 90° = (2, -5) [(y, -x)]
2) (5, 2) 180° = two 90° turns = (2, -5) rotated 90° = (-5, -2)
3) (5, 2) 270° = three 90° turns = (-5, -2) rotated 90° = (-2, 5)°
4) (-5, 2) 90° = (y, -x) = (2, 5)
5) (-5, 2) 180° = two 90° turns = (2, 5) rotated 90° = (5, -2)
6) (-5, 2) 270° = three 90° turns = (5, -2) rotated 90° = (-2, -5)
7) (-2, 5) 90° = (y, -x) = (5, 2)
8) (5, -2) 180° = (y, -x) with another 90° turn = (-2, -5) rotated 90° = (-5, 2)
5 0
4 years ago
The experimental probability that it will rain on any given day in Houston, Texas, is about 15%. Out of 365 days, about how many
abruzzese [7]
9. The experimental probability that it will rain on any given day in Houston Texas is about 15%. Thus, out of 365 days, 15% of that are the predicted days the it will rain in the Place. => 365 days is the total number of days in a year => 15% is the predicted days to rain => 365 * .15 = 54.75 Since this is a decimal number, let’s round this off to 55 days. Why 55 because the value of tenths is more than 5.
7 0
4 years ago
Ana is n years old. How old will she be in 10 years
Pie

Answer:

She will be n+10 years old.

4 0
3 years ago
Read 2 more answers
The difference of the square of a number and 40 is equal to 3 times that number. Find the positive solution.
Wewaii [24]

Answer: The answer is 8.

Step-by-step explanation: The first step is to convert the expression into figures. We shall call the unknown number Y. So if we are told “the square of a number,” that means Y squared, or better still, Y^2. Further we are told “the difference between the square of a number and 40” and that can be written as;

Y^2 - 40.

Next we are told that this expression is equal to 3 times that number (that is 3Y). That can now be written out as follows,

Y^2 - 40 = 3Y

If we move all expressions to one side of the equation, what we would have is,

Y^2 - 3Y -40 = 0

(Remember that when a positive value crosses to the other side of an equation it becomes negative and vice versa)

We now have a quadratic equation

Y^2 -3Y - 40 = 0

By factorizing we now have

(Y -8) (Y + 5) = 0

Therefore Y - 8 = 0 or

Y + 5 = 0

Hence, Y = 8 or Y = -5

Since we are asked to calculate the positive solution, Y = 8

5 0
4 years ago
Find the equation of the line
Butoxors [25]

Answer:

y= -1/3x + 5

Step-by-step explanation:

8 0
3 years ago
Other questions:
  • Find the partial fraction decomposition of x-3/x(x^2+3)
    11·1 answer
  • Can anyone help me to find this answer ​
    12·1 answer
  • 24 fl oz =___ pt ___c. i hope you can understand wat i have nean pliz
    12·2 answers
  • We’re not done just yet!<br><br><br> Thanks for anyone who helped, means a lot to me!
    8·2 answers
  • Helpppppppp plsssssss hrry I have more like 4 more​
    9·1 answer
  • Can someone helpppppppp
    14·1 answer
  • What is the length of a diagonal of a cube with a side length of 1 cm?​
    8·2 answers
  • A snail crawls 8.5 feet daily. How many inches does the snail crawl in three weeks?
    9·1 answer
  • Someone please help Austin writes down a random number. What is the probability that the number he wrote down is an odd number A
    8·1 answer
  • How do I write 3x3x3x3 in Standard Form
    5·1 answer
Add answer
Login
Not registered? Fast signup
Signup
Login Signup
Ask question!