Answer:
6. mean = 1.4
7. variance = 1.64
standard deviation = √1.64
Step-by-step explanation:
6.
![\textsf{mean }\mu=\[ \sum [x \cdot p(x)]](https://tex.z-dn.net/?f=%5Ctextsf%7Bmean%20%7D%5Cmu%3D%5C%5B%20%5Csum%20%5Bx%20%5Ccdot%20p%28x%29%5D)
⇒
= 0 x 0.4 + 1 x 0.1 + 2 x 0.2 + 3 x 0.3 = 1.4
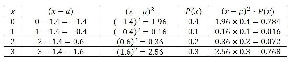
7. see attached for completed table
![\textsf{variance }\sigma^2=\[ \sum [(x -\mu)^2 \cdot p(x)]](https://tex.z-dn.net/?f=%5Ctextsf%7Bvariance%20%7D%5Csigma%5E2%3D%5C%5B%20%5Csum%20%5B%28x%20-%5Cmu%29%5E2%20%5Ccdot%20p%28x%29%5D)
Therefore, variance is the total of the last column:
= 0.784 + 0.016 + 0.072 + 0.768 = 1.64
standard deviation is the square root of variance:
