1answer.
Ask question
Login Signup
Ask question
All categories
  • English
  • Mathematics
  • Social Studies
  • Business
  • History
  • Health
  • Geography
  • Biology
  • Physics
  • Chemistry
  • Computers and Technology
  • Arts
  • World Languages
  • Spanish
  • French
  • German
  • Advanced Placement (AP)
  • SAT
  • Medicine
  • Law
  • Engineering
Kitty [74]
2 years ago
9

? < x < ? I am very lost/confused.

Mathematics
1 answer:
pentagon [3]2 years ago
5 0

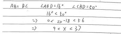
Answer:

9 <x < 37

Step-by-step explanation:

See attached image for steps.

You might be interested in
After graphing 4x-2y=5 and y=x, in how many points do they intersect
Angelina_Jolie [31]

Answer:

1 at (2.5, 2.5)

Step-by-step explanation:

you can try graphing it on desmo

3 0
4 years ago
Does someone know the other endpoint ​
agasfer [191]

Answer:

(-10,11)

Step-by-step explanation:

x-value:

-4-2=-6

-4-6=-10

y-value:

6-1=5

6+5=11

7 0
3 years ago
Read 2 more answers
You spend $20 total on tubes of paint and disposable brushes for an art project. Tubes of paint cost $4.00 each and paintbrushes
hram777 [196]
You are buying 2 items so let's use two different variables to represent each:
p = number of tubes of paint
b = number of disposable brushes
cost = price per item × number of items
Equations from information given:
4p + 0.50b = 20 ← from the first 2 sentences
2p = b  ← if there are twice as many brushes as paint tubes you need 2 times paint tubes to equal number of brushes
Solve the problem by using substitution... 1b equals 2p so replace b with that:
4p + 0.50(2p) = 20
4p + 1p = 20   ← 0.50 is half so half of 2p is 1p
5p = 20 ← combine like terms
p = 4   ← divide both sides of the equation by 5
Recall the equation 2p = b replace p with 4
2(4) = b 
8 = b
ANSWER:
You purchased 4 tubes of paint and 8 disposable brushes.
8 0
3 years ago
What is the value of x to the nearest tenth?
nevsk [136]

Answer:

Follow my insatagram onlypiccolo for answer

Step-by-step explanation:

o?ok?

8 0
3 years ago
What's the probability of drawing a green marble out of a bag with 2 green marbles and 4 blue marbles?
fredd [130]

Answer:

2/6= 1/3

Step-by-step explanation:

8 0
3 years ago
Read 2 more answers
Other questions:
  • The outlier, 78, is removed from the data set shown. 23, 23, 25, 27, 34, 34, 35, 41, 45, 45, 78 How does this affect the range?
    5·1 answer
  • Adam bought three laptops for his office at a total cost of $1,300. The shopkeeper tried to sell Adam some upgrades and accessor
    12·2 answers
  • Four friends played minutes golf. Their scores were -3, -2, -1, and 2.
    7·1 answer
  • Which ones are prisms?
    8·2 answers
  • What composition of transformations would map figure A onto figure W? A. translation and clockwise rotation B. rotation and refl
    6·2 answers
  • If the sequence 3, 3, 6, 9, 15, ... were to follow the same pattern as the Fibonacci sequence, what are the next three terms?
    7·2 answers
  • The exact length of line segment AB is?
    8·1 answer
  • Which of the following consists of discrete​ data?
    14·1 answer
  • A shopper pays $2,937 for a $2,670 grandfather clock after sales tax is added. What is the sales tax percentage?
    5·1 answer
  • PLEASE HELP ASAP!!!!! a simulation by tossing a coin to model whether these puppies will be male or female. • Let heads (H) = fe
    13·1 answer
Add answer
Login
Not registered? Fast signup
Signup
Login Signup
Ask question!