1answer.
Ask question
Login Signup
Ask question
All categories
  • English
  • Mathematics
  • Social Studies
  • Business
  • History
  • Health
  • Geography
  • Biology
  • Physics
  • Chemistry
  • Computers and Technology
  • Arts
  • World Languages
  • Spanish
  • French
  • German
  • Advanced Placement (AP)
  • SAT
  • Medicine
  • Law
  • Engineering
SOVA2 [1]
3 years ago
8

Please help quickly

Mathematics
1 answer:
hoa [83]3 years ago
5 0

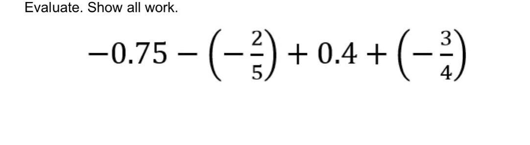
Answer:

Step-by-step explanation:

-0.75 + 0.4 + 0.4 - 0.75

-1.50 + 0.8

-0.70

You might be interested in
Find the sum: 216-36+6-1........+1/7776
NNADVOKAT [17]
185 is the sum of the first part if the question
7 0
3 years ago
Please help me out with this one! I need step by step instructions (30 points!)
jolli1 [7]

Answer:

WAT DO U MEAN 30 POINTS UR ONLY GIVING 5

Step-by-step explanation:

ITS LITTERALLY RIGHT NEXT TO IT

8 0
3 years ago
How many quarts and cups are in 2 gallons
MrMuchimi
There are 8.25 cups and quarts in two gallons
7 0
3 years ago
Read 2 more answers
Kerry's car is valued at $11,250 if the property tax rate is 1.5% how much tax does she owe​
eimsori [14]

Answer:

168.5

Step-by-step explanation:

8 0
3 years ago
If y varies directly with x, and y = 2 when x = −4, what is the value of y when x = 20
Klio2033 [76]

Answer:

y = - 10

Step-by-step explanation:

Given that y varies directly with x then the equation relating them is

y = kx ← k is the constant of variation

To find k use the condition y = 2 when x = - 4, that is

2 = - 4k ( divide both sides by - 4 )

= k, that is

k = -  

y = -  x ← equation of variation

When x = 20, then

y = -  × 20 = - 10

3 0
4 years ago
Other questions:
  • YOur math teacher gives you a worksheet that has 20 problems. She tells you choose 3/4 of the problems can you skip? If you get
    15·1 answer
  • If f(x)= (x^m+9)^2 what would be true about the statement?
    15·1 answer
  • Can anyone tell me how to do this problem?
    11·1 answer
  • The high school choirs participating in a fundraising sales contest. The choir will receive a bonus if they make 20 sales in the
    13·1 answer
  • I have an exam and I need your help
    11·1 answer
  • PLS help ASAP I DONT have time to answer this, it also detects if it’s right or wrong.
    7·1 answer
  • Kaylee put $240.00 in a bank account that gains 25%
    7·1 answer
  • Item 10
    14·1 answer
  • Who can help me out with this test I will PayPal you $5 It’s geometry
    6·2 answers
  • If EG=50 , and point F is 2/5 of the way between e and g,find the value FG A.30 B.25 C.40 D.20
    8·1 answer
Add answer
Login
Not registered? Fast signup
Signup
Login Signup
Ask question!