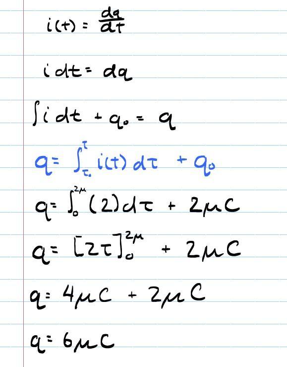
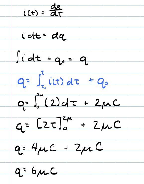
Answer:
the density of the electrum is 14.30 g/cm³
Explanation:
Given that:
The equilibrium fraction of lattice sites that are vacant in electrum = 
Number of vacant atoms = 
the atomic mass of the electrum = 146.08 g/mol
Avogadro's number = 
The Number of vacant atoms = Fraction of lattice sites × Total number of sites(N)
=
× Total number of sites(N)
Total number of sites (N) = 
Total number of sites (N) = 
From the expression of the total number of sites; we can determine the density of the electrum;

where ;
= Avogadro's Number
density of the electrum
= Atomic mass





Thus; the density of the electrum is 14.30 g/cm³
Answer: E7018 is a low-hydrogen iron powder type electrode that produces high quality x-ray welds. It can be used in all positions on AC or DC reverse polarity welding current.
Explanation: Hope this helps