1answer.
Ask question
Login Signup
Ask question
All categories
  • English
  • Mathematics
  • Social Studies
  • Business
  • History
  • Health
  • Geography
  • Biology
  • Physics
  • Chemistry
  • Computers and Technology
  • Arts
  • World Languages
  • Spanish
  • French
  • German
  • Advanced Placement (AP)
  • SAT
  • Medicine
  • Law
  • Engineering
Rainbow [258]
3 years ago
3

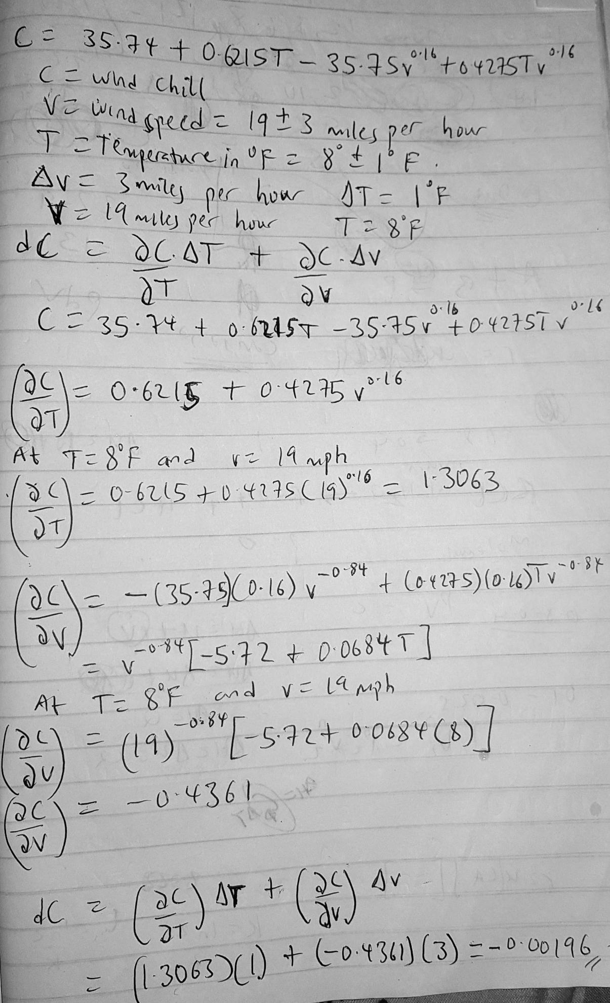
The formula for wind chill C (in degrees Fahrenheit) is given by C = 35.74 + 0.6215T − 35.75v0.16 + 0.4275Tv0.16 where v is the

wind speed in miles per hour and T is the temperature in degrees Fahrenheit. The wind speed is 19 ± 3 miles per hour and the temperature is 8° ± 1°. Use dC to estimate the maximum possible propagated error (round your answer to four decimal places) and relative error in calculating the wind chill (round your answer to two decimal places).†

Mathematics
1 answer:
ahrayia [7]3 years ago
6 0

Answer:

The maximum propagated error in the wind chill calculation = dC = -0.0020°F

Relative error = (dC/C) = 0.000177 = 0.00 to 2 d.p

Step-by-step explanation:

C, the wind chill in degree Fahrenheit is a multi-variable function with independent variables v and T

The maximum error in C, dC is given mathematically as

dC = ΔT (∂C/∂T) + Δv (∂C/∂v)

The calculations to obtain each of these partial derivatives at the given conditions is presented in the attached image to this answer.

dc is then also computed.

dC = - 0.00196°F = - 0.0020°F to 4 d.p.

b) Relative error = (dC/C)

C = 35.74 + 0.6215T - 35.75v⁻⁰•¹⁶ + 0.4275Tv⁻⁰•¹⁶

At v = 19 mph and T = 8°F

C = 35.74 + (0.6215×8) - 35.75(19⁻⁰•¹⁶) + 0.4275(8)(19⁻⁰•¹⁶) = -11.07°C

Relative error = (dC/C) = (0.00196/11.07) = 0.000177

Hope this Helps!!!

You might be interested in
(2.5×10−8)(9×10−10)<br><br> Express your answer in scientific notation.
Lunna [17]
Answer: 2.25x 10^{-17}

Scientific notation is used in science because the number can be vary from so much that using decimal is making it hard. The number expressed in 10^{x} form. Both number in the question is already in scientific notation. Then to multiply the number and keep it at scienfitic notation the calculation should be:

2.5 x 10^{-8}x 9 x 10^{-10}= 22.5 x 10^{-18}= 2.25x 10^{-17}

6 0
3 years ago
Read 2 more answers
Write the equation of the linear relationship in slope-intercept form, using decimals as needed.
d1i1m1o1n [39]
Ok so look for the change between x and y.
7 0
3 years ago
Read 2 more answers
Two angles in a triangle measure 28 degrees and 93 degrees. What is the measure of the third angle?
Serggg [28]

Answer:

59

Step-by-step explanation:

5 0
4 years ago
Read 2 more answers
Graph the linear equation x= - 5​
Grace [21]

Answer:

that would be a vertical line (parallel to the y axis) that passes through -5 on the X axis

Step-by-step explanation:

just a straight line that goes through x = -5. if you're still confused it would also go through the point (-5, -5) a straight vertical line

5 0
3 years ago
Read 2 more answers
if the volume of an open box with a square base is 5 cubic feet, write the surface area, S, of the box as a function of x, the l
AleksandrR [38]
Check the picture below.

the box is an open box, meaning the top is open, so that is not taking up area, so is not part of the surface area.

so can just get the area of the bottom, and the sides and sum them up, keeping in mind that the bottom is just an area of x² and the sides are just 4 rectangles of area h*x.

\bf SA=\stackrel{\textit{bottom}}{(x\cdot x)}~~+~~\stackrel{\textit{4 lateral sides}}{4(hx)}\implies &#10;SA=\stackrel{\textit{bottom}}{x^2}~~+~~\stackrel{\textit{4 lateral sides}}{4\left(\cfrac{5}{x^2}\cdot x  \right)}&#10;\\\\\\&#10;SA=x^2~~+~~4\cdot \cfrac{5}{x}\implies SA=x^2+\cfrac{20}{x}

8 0
3 years ago
Other questions:
  • Solve for t.<br><br><br> −5t≥70<br><br> Help Please
    8·2 answers
  • What is the factorization of 121b^4 − 49?
    8·1 answer
  • To find the average of a set of numbers, add up all the items and divide by?
    9·1 answer
  • Composite numbers and
    9·2 answers
  • 48 centimetre cubes fit exactly into the bottom of this box with length 8 cm, width 6 cm and height 5 cm. How many cm cubes are
    9·1 answer
  • One million three hund forty five thousand eight hundred and twenty in expanded form
    12·2 answers
  • Find the midpoint of the line segment with given endpoints<br> (-2,2) (-8,4)
    8·1 answer
  • For a certain value of k, the system
    7·1 answer
  • Which one would be true?
    10·1 answer
  • Encuentre el valor de la variable en la siguiente ecuación<br><br> 4−x7=−8
    13·1 answer
Add answer
Login
Not registered? Fast signup
Signup
Login Signup
Ask question!