Marcos is correct because 3x is not a like term to 7, since you cannot add them it’s already in its most simplified form and stays as 3x + 7.
Answer:
length= 17.5
width=11.5
( I worked this out myself but I don't know if its right tho)
Answer:
True
Step-by-step explanation:
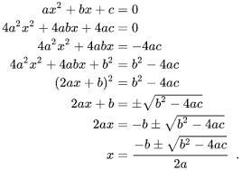
That expression is called the "Quadratic formula" and basically the solution to any second degree equation can be find by using the quadratic formula.
Attached you can find the procedure to get to the quadratic formula from the general equation of a second degree polynomial.
Answer:
store D
Step-by-step explanation:
Becuase if the Store D hast the same cost as the Store B it will be better to pick at store D because The original price is 550 for the dress meanwhile The store D have 28% off which it only cost 296$
ANSWER
The correct answer is 4.6
EXPLANATION

Since U is the midpoint of |RS|,

U being the midpoint of RS means, it is in the middle of R and S.
So if from R to U is 2.3, then from U to S is also 2.3.
This is an implication that


See diagram in the attachment.