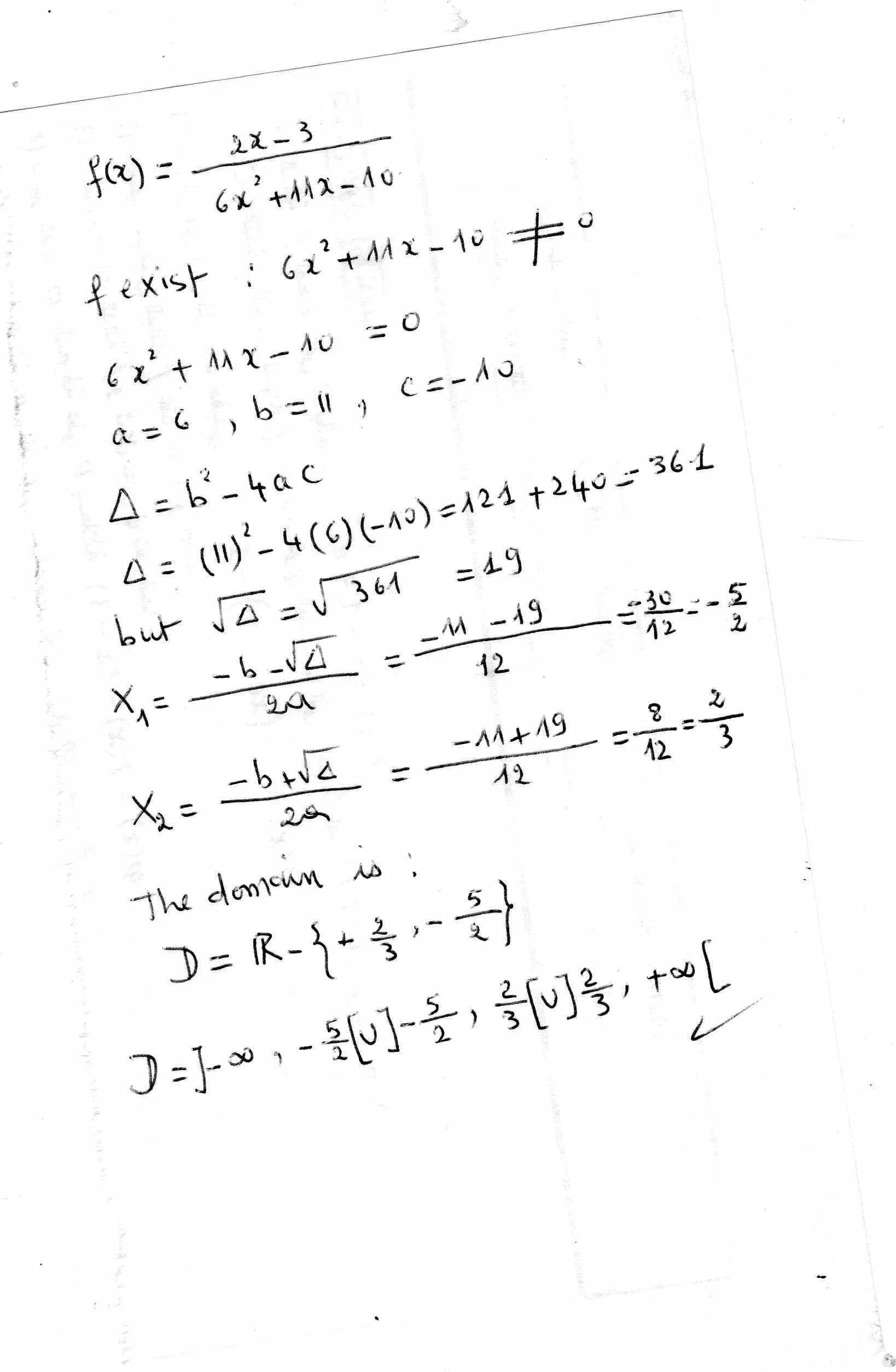
Solve for x:
1.
4x - 7 = 3
Add 7 to both sides
4x = 10
Divide both sides by 4
x = 10/4
Simplify:
x = 5/2
Answer for question 1: x = 5/2
2.
13 + 2x/3 = 15
Multiply both sides by 3
39 + 2x = 45
Subtract 39 from both sides
2x = 6
Divide both sides by 2
x = 3
Answer for question 2: x = 3
3.
10x + 7 = 15
Subtract 7 from both sides
10x = 8
Divide both sides by 10
x = 8/10
Simplify
x = 4/5
Answer for question 3: x = 4/5
Step-by-step explanation:
Let a be the price of 1 adult ticket.
Let c be the price of 1 child ticket.
given,

as equation 1,
and

as equation 2.
Now we will solve for a and c using elimination method of simultaneous equations.
Now we multiply equation 2 by 2 to eliminate a and solve for c.

This new equation will be equation 3.
Now we will use equation 1 - equation 3 to eliminate a and solve for c.

Now substitute c into equation 2.

Therefore one adult ticket will cost $17.50 and one child ticket will cost $9.50.
You would move your point 24 up from the starting point then move it three down from the 24 so if you start at zero go to 24 then move it down to 21.
64 inches is the correct answer. To get it you need to multiply the length times the width.
(this is incorrect. Sorry for the inconvenience)