1answer.
Ask question
Login Signup
Ask question
All categories
  • English
  • Mathematics
  • Social Studies
  • Business
  • History
  • Health
  • Geography
  • Biology
  • Physics
  • Chemistry
  • Computers and Technology
  • Arts
  • World Languages
  • Spanish
  • French
  • German
  • Advanced Placement (AP)
  • SAT
  • Medicine
  • Law
  • Engineering
Oliga [24]
4 years ago
5

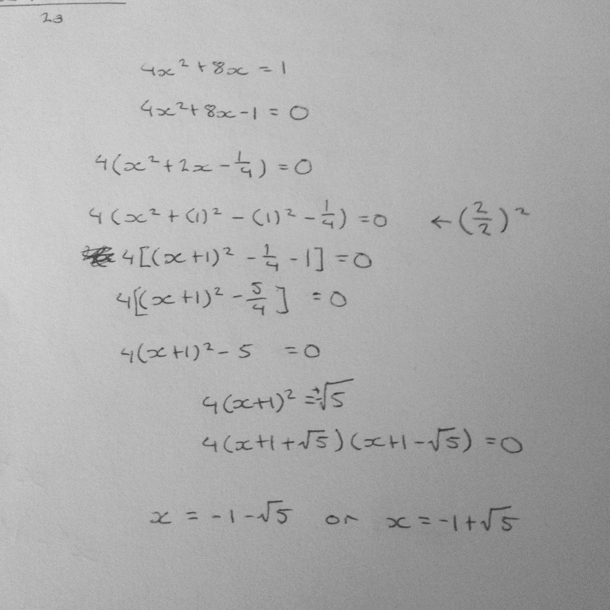
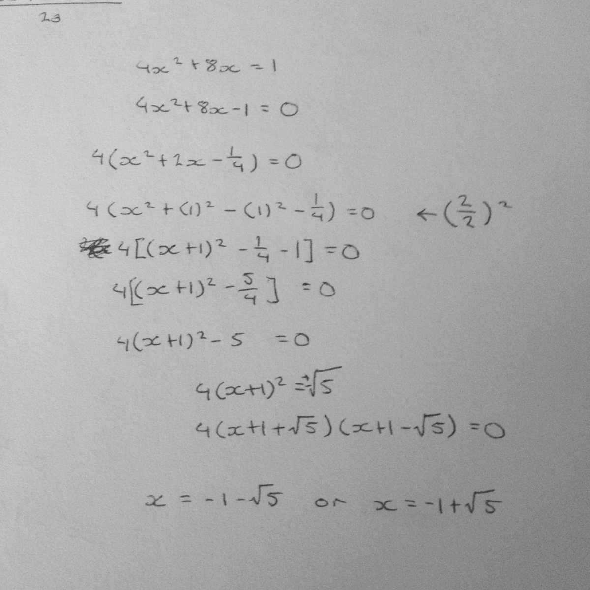
4x²+8x=1 by completing the square

Mathematics
1 answer:
katrin [286]4 years ago
3 0
First thing you do is subtract both sides by 1.
Then divide everything by 4, to remove the 4x<span>².
After completing the square, you multiply the 4 back in.

Photo attached.
Hope the answer is right >-<
Have a Brainly day!
</span>

You might be interested in
The inequality x&lt;4 in interval notation
Strike441 [17]
X<4 represents "all numbers smaller than 4, including all negative numbers."

In interval notation, this comes out to (-infinity, 4).


3 0
3 years ago
Please help, you can just slide the answer
nikdorinn [45]

Answer:

c is correct have a nice day

Step-by-step explanation:

3 0
3 years ago
Can 33,56,65 be a right triangle
neonofarm [45]
Yes
I can’t tell u y cuz I looked it up
7 0
3 years ago
How do i write an inequality statement for 15°F and 5° F
natta225 [31]
15°F is hotter, or greater than, 5<span>°F.

15 > 5</span>
7 0
3 years ago
Read 2 more answers
Make sure your answer is in degrees. you should be able to find this without a calculator.
jekas [21]

Answer:

Below.

Step-by-step explanation:

sin-1 1/2 = 30 degrees in the first quadrant.

As the sin is negative in Quadrants 3 and 4,

sin01 -1/2

= 210, 330 degrees,  in the range 0-360 degrees

6 0
2 years ago
Other questions:
  • the sides of a triangle have lengths of x, x+5, and 25. if the longest side is 25, which of the following values of x would make
    6·2 answers
  • A farmer ships 4 times as many oranges as tangerines the farmer ships 8260 oranges. How many tangerines does he ship
    6·2 answers
  • A car travels 56.7 miles in a hour. If it continues at the same speed, how far will the car travel in 12 hours?
    5·2 answers
  • Can you help me please for this ^^
    5·2 answers
  • What is halfway between 20 and 29
    14·2 answers
  • Please help I'm lost.
    11·1 answer
  • Question 5
    7·2 answers
  • Need help asap this is due in 20 min!!! i will gove brainliest too! questions 8-11
    10·1 answer
  • DUE 10:00 PM HELP ASAP. When Sarah left your house this morning her cell phone was 80% charged and then it started to lose 8% ch
    8·2 answers
  • What is Mrs. Gordon's rate from 0 to 2 seconds? 2.5 feet per second.4 feet per second5 feet per second.2 feet per second
    13·1 answer
Add answer
Login
Not registered? Fast signup
Signup
Login Signup
Ask question!