1answer.
Ask question
Login Signup
Ask question
All categories
  • English
  • Mathematics
  • Social Studies
  • Business
  • History
  • Health
  • Geography
  • Biology
  • Physics
  • Chemistry
  • Computers and Technology
  • Arts
  • World Languages
  • Spanish
  • French
  • German
  • Advanced Placement (AP)
  • SAT
  • Medicine
  • Law
  • Engineering
timofeeve [1]
4 years ago
5

HELP!!!

Mathematics
1 answer:
kaheart [24]4 years ago
4 0
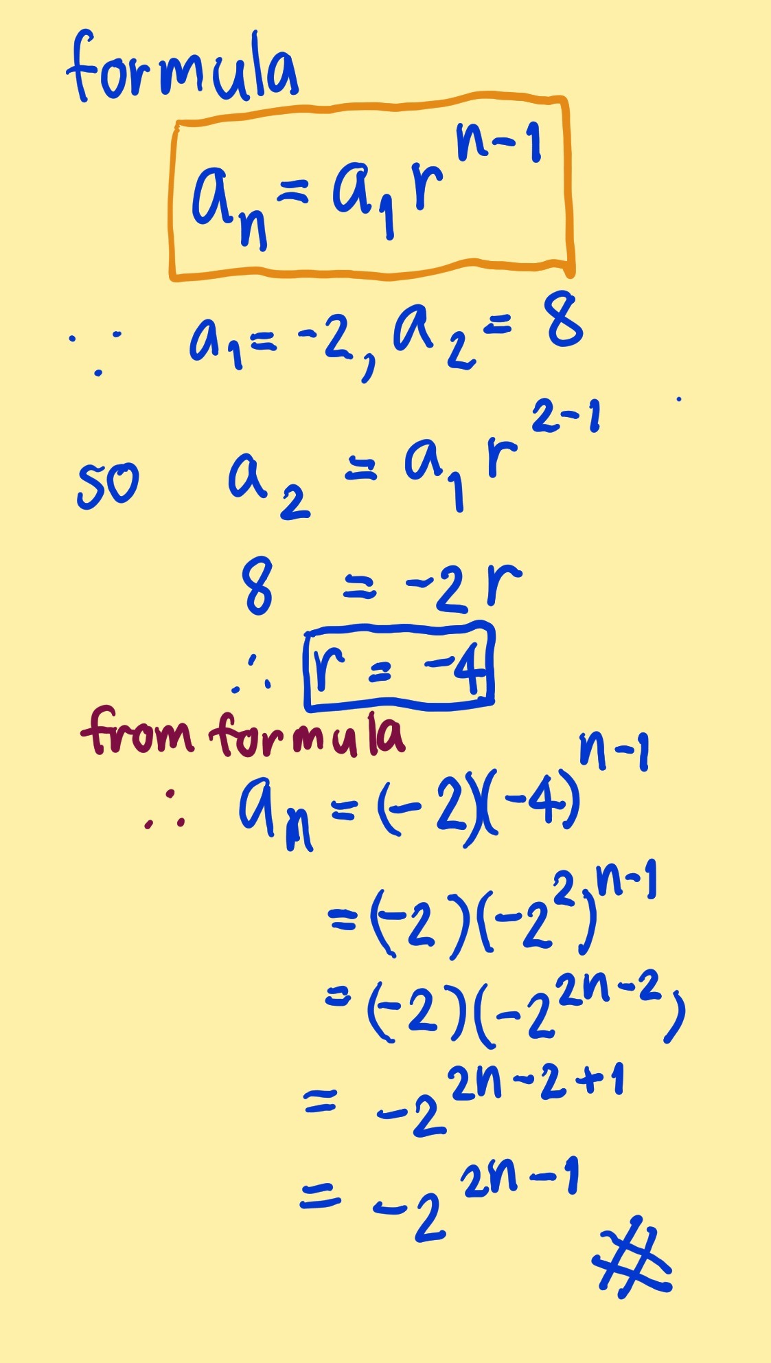
You can see the answer and solution from the picture

You might be interested in
What are equivalent ratios of 4/8
Shkiper50 [21]
1/2, 8/16, and a lot others.
7 0
3 years ago
Read 2 more answers
Help please lol :)))))))
nasty-shy [4]
How come it’s a right triangle, I think you do a2+b2=C2. Therefore, you do 9.4 times 9.4 and then 15.1 times 15.1. So it will be 9.4 + b2=15.1. 88.36+ b2=228.01. Then you subtract that and it will be 139.65. Then you do square roots because you are trying to get rid of the second power. And the final answer is 11.81736011. How they told you to round it to the nearest tenth, I will be 11.8. I think this is the answer.
6 0
3 years ago
Which polynomial lists the powers in descending order?
lesantik [10]

Answer:

D i believe

Step-by-step explanation: hoped this helps

8 0
2 years ago
there are 26 members of the baseball team that also run track. there are 48 boys on the track team. how many boys run only track
vladimir2022 [97]

Answer:

22

Step-by-step explanation:

48 - 26 = 22

7 0
3 years ago
During bowling practice, Marley rolled 14 strikes out of 70 attempts. what percent of Marleys attempt were strikes?
Roman55 [17]

Answer:

20%

Step-by-step explanation:

14/70 = 0.2

0.2 x 100= 20

3 0
3 years ago
Read 2 more answers
Other questions:
  • What is 2.36 divided by 8
    9·2 answers
  • PLEASE help and fast​
    10·1 answer
  • I need this to be answered ASAP
    13·1 answer
  • Margie has a $50 budget to purchase a $45 pair of boots if there is an 8% sales tax rate then how much under budget will Marjori
    7·2 answers
  • 0.6 + 0.008 + 0.0007 in standard form?
    5·1 answer
  • Evaluate the expression |-9|
    9·2 answers
  • What is the equation of a line that passes through the point (−2, 5) and has a slope of zero
    15·1 answer
  • I need this answer pleaseeeee:(
    5·2 answers
  • What is 9.8846387057 to the nearest whole number
    8·2 answers
  • Solve for z<br> 12/z<br> 4/5
    14·1 answer
Add answer
Login
Not registered? Fast signup
Signup
Login Signup
Ask question!