1answer.
Ask question
Login Signup
Ask question
All categories
  • English
  • Mathematics
  • Social Studies
  • Business
  • History
  • Health
  • Geography
  • Biology
  • Physics
  • Chemistry
  • Computers and Technology
  • Arts
  • World Languages
  • Spanish
  • French
  • German
  • Advanced Placement (AP)
  • SAT
  • Medicine
  • Law
  • Engineering
RoseWind [281]
4 years ago
15

I need some math help

Mathematics
1 answer:
Anni [7]4 years ago
6 0
Your answers well be
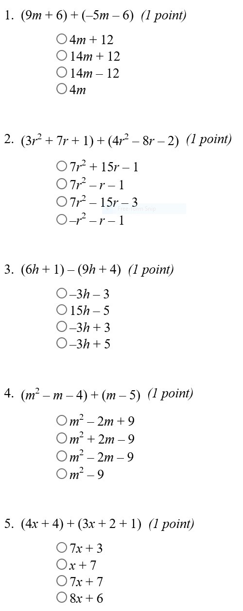
1. 4m
2. 7r2-r-1
3. -3h+5
4. m2-2m+9
5. 7x+7
You might be interested in
683,004 and 3,854.927to nearest hundredths
Karolina [17]

Answer:

683004.00

3854.93

Step-by-step explanation:

 

8 0
3 years ago
What slope equals -1 and y intercept equals 3
Vlad [161]

Answer:

y = -x + 3

Step-by-step explanation:

The equation of a line with slope equal to -1 and y-intercept equal to 3 has the form

y = mx + b.  With m = -1 and b = 3, we get:  y = -x + 3

Think about this problem, please.  Is there any way in which you could be clearer about what you wanted to learn?

3 0
3 years ago
-6x-11x=68 HEEEEEEEEEEELP
zheka24 [161]

Answer:

The correct answer would be 4. Explanation below

Step-by-step explanation:

-6x-11x = 68

-6x-11x = -17x

-17x = 68

68/-17 = 4

Hope this helps!

~Starr


7 0
3 years ago
Read 2 more answers
At cycle and sport custormers can rent bikes electric
EleoNora [17]

Answer:

I need a liitle bit more information

Step-by-step explanation:

8 0
3 years ago
Use the properties of equality to find the value of x in this equation.<br><br> 4(6x – 7) = 44
son4ous [18]

Answer:

x=3

Step-by-step explanation:

4(6x-7) = 44

6x - 7 = 11

6x = 18

x= 3

4 0
3 years ago
Other questions:
  • The radii of earth and Pluto are 6,371 kilometers and 1161 kilometers, respectively. Approximately how many spheres the size of
    12·2 answers
  • There 37 paperclips in a box. carmen places more paper clips in the box. which equation models the total number of paperclips p
    11·1 answer
  • Difference between relative frequencies and percentages.
    7·1 answer
  • The Jurassic zoo charges $12 for each adult admission and $7 for each child. The total bill for 129 people was $1088. How many a
    11·1 answer
  • What is the math on 8 + vover4 = 20
    5·1 answer
  • Which is the equation of a parabola with focus (-2, -4) and vertex (-4, -4)?
    7·1 answer
  • You can construct congruent triangles if you know which of the following? A. the measures of two angles B. the measures of three
    15·1 answer
  • Solve for v.<br> 19v – 18 = 16 + 17v
    5·2 answers
  • Which best describes how the graph of g(x) = 1/9 x relates to the graph of the parent function, f(x) = x ?
    13·1 answer
  • Ronald runs 6,000 meters in 2 hours. He is thinking of running an 18 kilometers race. How much time will he take in the race if
    8·2 answers
Add answer
Login
Not registered? Fast signup
Signup
Login Signup
Ask question!