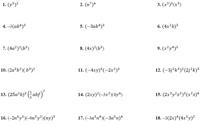
QUESTION 1

To simplify the above expression, we apply the laws of indices.
Recall that

Therefore,

Now we apply the product rule of indices.
Recall again that;



QUICK SOLUTION
Recall that;



QUESTION 2

To simplify the above expression, we apply the laws of indices.
Recall that;

Therefore,

Now we apply the product rule of indices.



QUICK SOLUTION
Recall that;



ANSWER TO QUESTION 3

Let us use the law;

to simplify the first part first while maintaining the right part for now.


Now we apply the product rule of indices.



ANSWER TO QUESTION 4

We first share the index for each factor in the parenthesis.

We now use the law,
for the right most factor.


ANSWER TO QUESTION 5

We first share the index for each factor in the parenthesis.

We now use the law,
for the right most factor.


ANSWER TO QUESTION 6

We first share the exponent for each of the factors inside the parenthesis.

We now use the law,
for the middle factor.


ANSWER TO QUESTION 7

We share the exponent for each factor in the parenthesis.

We now use the law,
for the middle factor.


ANSWER TO QUESTION 8

We share the exponent for each factor in the parenthesis.


ANSWER TO QUESTION 9

We share the exponent for each factor in the parenthesis.


We now use the law,
to simplify each factor.



ANSWER TO QUESTION 10

Recall that,



We apply the product law to get,


ANSWER TO QUESTION 11

We share the index for each factor to get,

We simplify to get,

Applying the product rule gives,


ANSWER 12

We split the index for each factor.

We simplify to get,



ANSWER 13

We share the index.




ANSWER 14.



SEE ATTACHMENT FOR CONTINUATION