1answer.
Ask question
Login Signup
Ask question
All categories
  • English
  • Mathematics
  • Social Studies
  • Business
  • History
  • Health
  • Geography
  • Biology
  • Physics
  • Chemistry
  • Computers and Technology
  • Arts
  • World Languages
  • Spanish
  • French
  • German
  • Advanced Placement (AP)
  • SAT
  • Medicine
  • Law
  • Engineering
mylen [45]
3 years ago
9

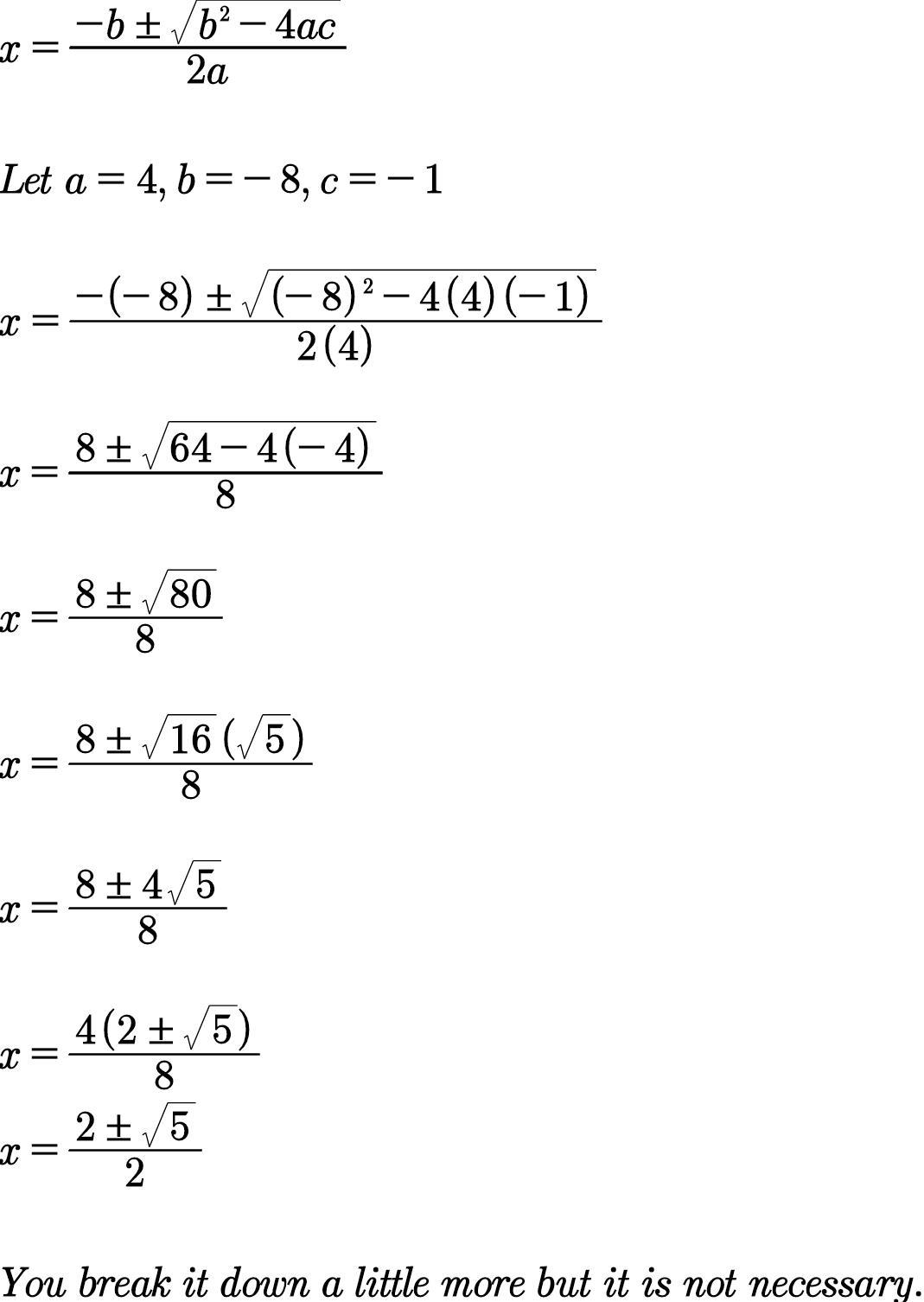
Identify the zeros of the function f(x) = 4x2 − 8x − 1 using the Quadratic Formula.

Mathematics
2 answers:
Shalnov [3]3 years ago
7 0

See attachment. I hope this helps.

elena-s [515]3 years ago
6 0

Answer:

2+sqrt of 3 divided by 2. or 2-sqrt of 3 divided by 2

or 2.12 and -0.12

hope this helps

Step-by-step explanation:

You might be interested in
What were the 2 global events in the last two years?
marysya [2.9K]
2016 Olympics that was held in Rio de Janeiro, Brazil.

2018 Olympics that was held in PyeongChang, South Korea.
3 0
4 years ago
What is the answer? Plsss help me
butalik [34]

Answer: 11 (i think )

hope this helps

7 0
3 years ago
1.3.IP-28
lidiya [134]

Step-by-step explanation:

Find the difference

3,621 - 1,836 = 1,785

They payed $1,785 dollars in the second installment.

6 0
3 years ago
(7^2)^4= n^8 solve for n
S_A_V [24]

Answer:

n=7

Step-by-step explanation:

(7^2)^4= n^8

We know that a^b^c = a^(b*c)

7^(2*4) = n^8

7^8 = n^8

Since the exponents are the same, the bases must be the same

n=7

4 0
3 years ago
If a linear equation is written in the form y=1/2x-2 , which method could be used to graph the line represented by the equation?
sergey [27]

Answer:D

Step-by-step explanation: the equation is written is slope- intersect form were -2 is the y intersect. the coordinate of the y intersect is (0,-2). the number in front of the x is the slope which is 1/2. so the answer is D.

6 0
4 years ago
Read 2 more answers
Other questions:
  • What is the y intercept of (-6, -5) when the slope is -2/3?
    12·1 answer
  • What is the solution to the linear equation?
    12·1 answer
  • 32 divided by 4 over -3 + 82 • (3) to the second power
    8·2 answers
  • Help pls I am failing this class
    9·1 answer
  • Skeleton practices playing spooky music on his piano he practice 60 minutes every single day how many hours does skeleton play i
    13·1 answer
  • A student recorded her scores on weekly math
    9·1 answer
  • How do you do solve one step inequalities
    11·1 answer
  • 7x −28 solve for inequality
    14·1 answer
  • What are the coordinates of the point 4/5<br> of the way from A to B?
    9·2 answers
  • Given z, find lzl.<br> Z = 10i<br> IzI = [?]
    14·1 answer
Add answer
Login
Not registered? Fast signup
Signup
Login Signup
Ask question!