1answer.
Ask question
Login Signup
Ask question
All categories
  • English
  • Mathematics
  • Social Studies
  • Business
  • History
  • Health
  • Geography
  • Biology
  • Physics
  • Chemistry
  • Computers and Technology
  • Arts
  • World Languages
  • Spanish
  • French
  • German
  • Advanced Placement (AP)
  • SAT
  • Medicine
  • Law
  • Engineering
defon
3 years ago
11

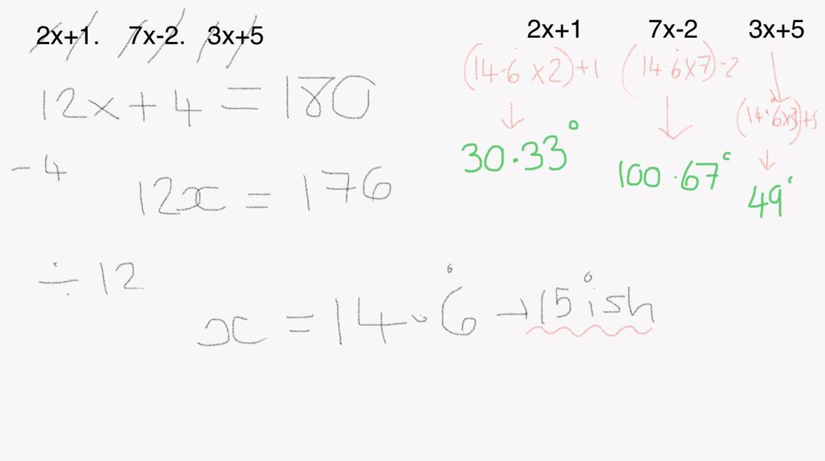
What is the value of x if the angles within a triangle are 2x +1, 7x-2 and 3x+5​

Mathematics
1 answer:
Mama L [17]3 years ago
4 0
Here’s my working out the green numbers are the answers

You might be interested in
What is 6 exponent 7 * 4 exponent 4 * 2 / 6 exponent 5 * 4 exponent 4 * 2.2 ​
juin [17]

Heya!!

here's your answer!

324403.2

I hope I helped :)

3 0
3 years ago
Two inetgers that are the same distance from 0 on a number line but opposite sides of 0 are called
IrinaVladis [17]
Additive inverses, because their sum is 0
7 0
3 years ago
Answer sooon pls i will give thebrainliest for the correct answer☺
OleMash [197]
The correct answer is 5
3 0
3 years ago
Which equations show you how to find 16-9?
Setler79 [48]
I think it might be B
because from 9+1 = 10 we can change to 9=10-1
and 10+6=16 no need to change
then we solve the problem with the equation
16 - 9
10+6 - (10-1)
10+6-10+1
7
thats the answer




5 0
3 years ago
Estimate then find the difference 358-292
Ainat [17]
358 will be rounded to 360 and 292 will be rounded to 290 so 360-290 =70
7 0
3 years ago
Other questions:
  • What are the answers to the "Writing linear equations puzzle"? Plz help!
    14·1 answer
  • VERTICAL STRETCHES AND SHRINKS OF THE SQUARE ROOT FUNCTION
    14·1 answer
  • How many solutions does an equation of the form x^2- k^2= 0 have?
    11·1 answer
  • The bottom of the ladder on a horizontal flat surface rests against a wall. It makes an angle of elevation of 35°. The bottom of
    13·1 answer
  • Can someone please answer with explanation
    6·1 answer
  • If MN = 5, NO = 13, then LM = (Blank 1). (Round your answer to one decimal place, as necessary.)
    6·1 answer
  • The soccer team collected $800 at a car wash fundraiser. They charged $5.00 for small vehicles and $10.00 for larger vehicles. T
    15·2 answers
  • In AIJK, the measure of K=90°, IJ = 8.6 feet, and KI = 4.5 feet. Find
    10·1 answer
  • In a exam 90% students passed.if 15 students failed,find the number of students appeared in the examination?​
    12·1 answer
  • What is the solution <br> X^2-4x=-1 ?
    12·2 answers
Add answer
Login
Not registered? Fast signup
Signup
Login Signup
Ask question!