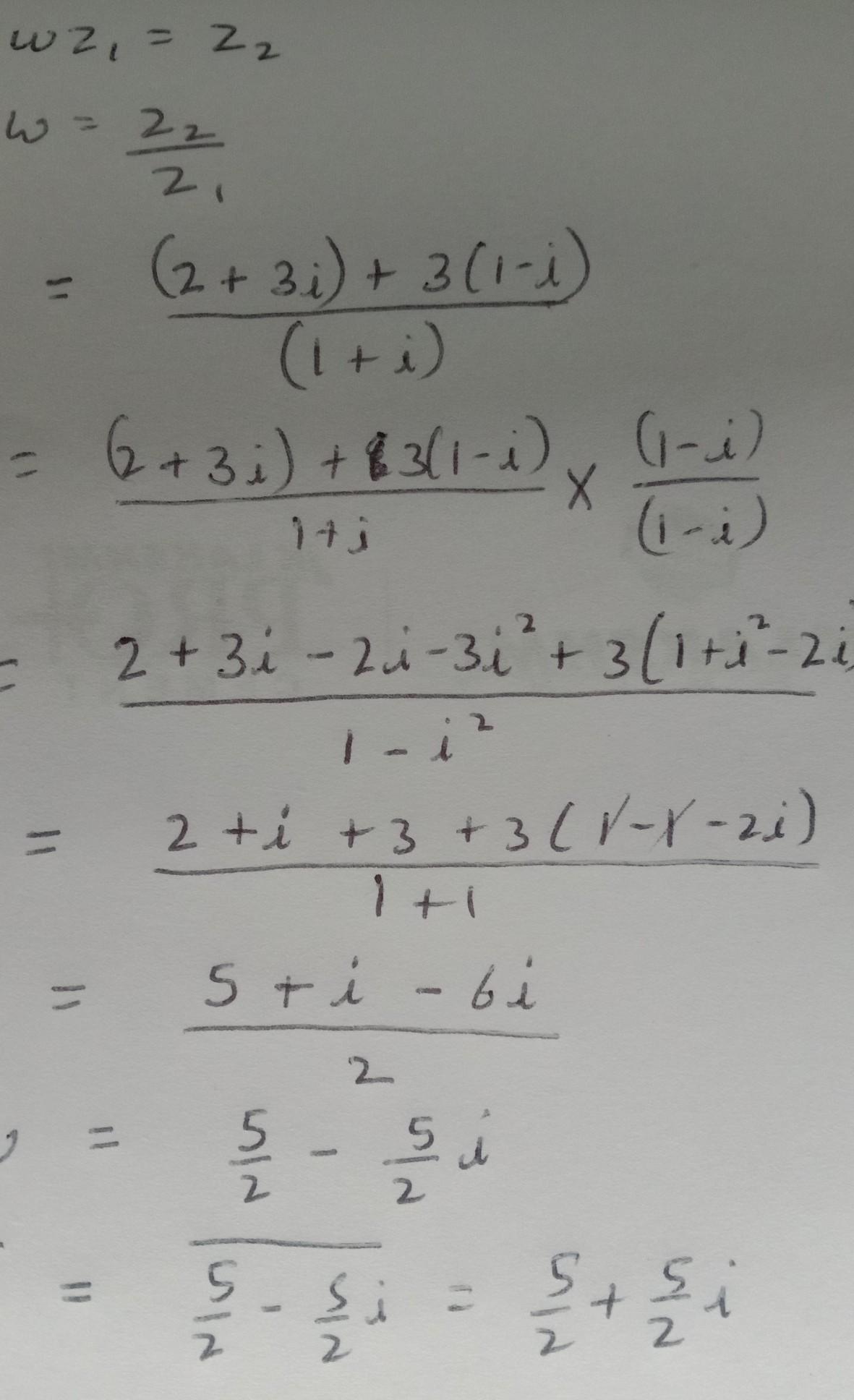
Answer:
Step-by-step explanation: no te entendi ni vergas no se ingles
Answer:
7-2x..I'm not entirely sure coz the question isn't given
Answer:
22222222222222+2222222222222222222
= 2222244444444444444
Step-by-step explanation:
If you like my answer than please mark me brainliest thanks
Answer: b = -6, 4
Step-by-step explanation:
Convert into factored form :
(b+6)(b-4)
Then make one of the terms 0.
Answer:
B.a vertical shift of 9 units up
Step-by-step explanation:
Given 

It means shifting
unit vertically.
Now, we will find the value of
for the given function


Hence, vertical shift of 9 units.