Look at the numbers so if one half of it is 15 then the other half would be
Answer:
The probability is 0.31
Step-by-step explanation:
To find the probability, we will consider the following approach. Given a particular outcome, and considering that each outcome is equally likely, we can calculate the probability by simply counting the number of ways we get the desired outcome and divide it by the total number of outcomes.
In this case, the event of interest is choosing 3 laser printers and 3 inkjets. At first, we have a total of 25 printers and we will be choosing 6 printers at random. The total number of ways in which we can choose 6 elements out of 25 is
, where
. We have that 
Now, we will calculate the number of ways to which we obtain the desired event. We will be choosing 3 laser printers and 3 inkjets. So the total number of ways this can happen is the multiplication of the number of ways we can choose 3 printers out of 10 (for the laser printers) times the number of ways of choosing 3 printers out of 15 (for the inkjets). So, in this case, the event can be obtained in 
So the probability of having 3 laser printers and 3 inkjets is given by

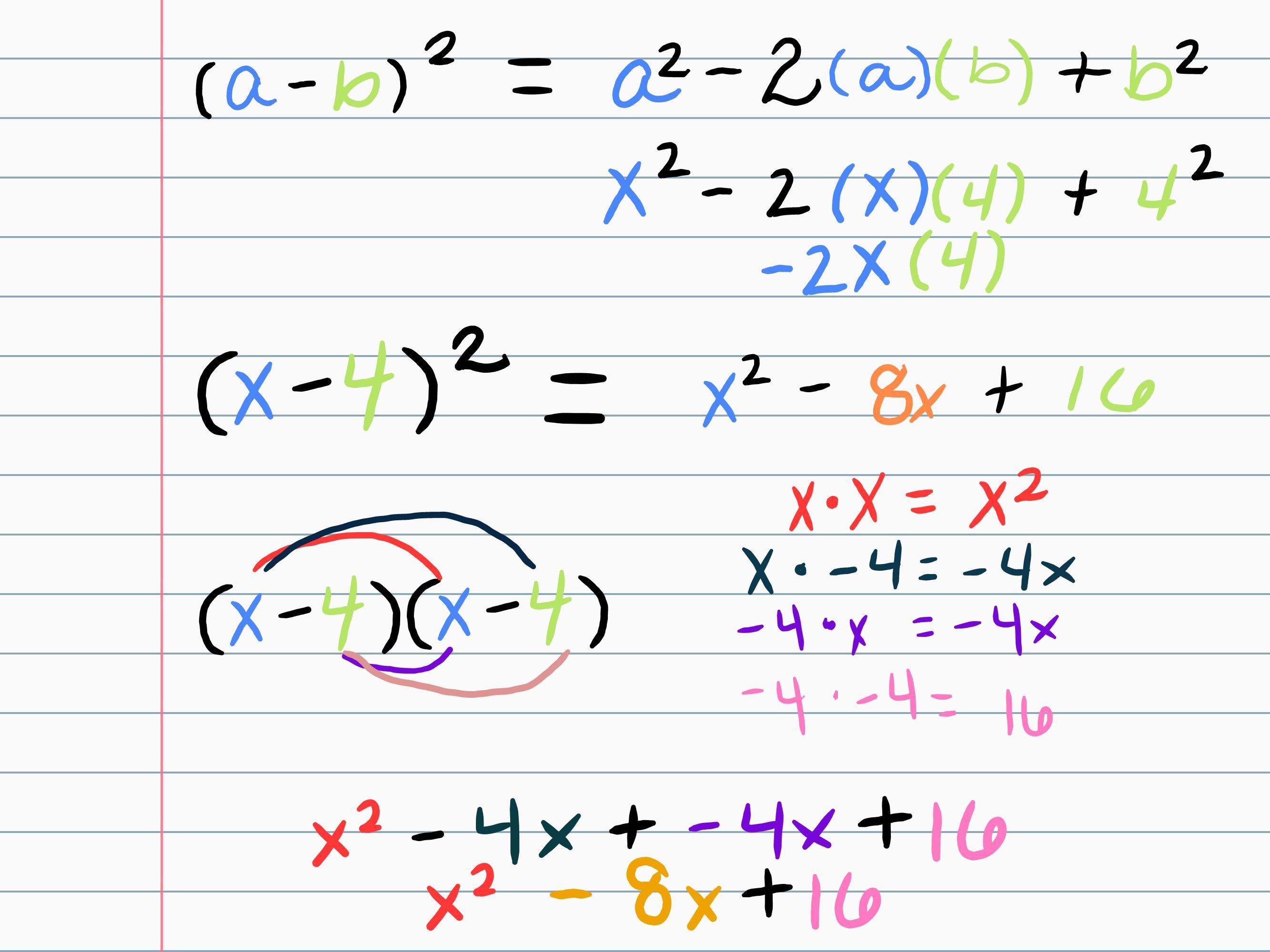
Answer: The answer is C
Step-by-step explanation:
Well, an example of a perfect square trinomial would look like is:
or 
So since we already know what
is and what
is we just have to find 
However, we would use the
formula to solve this since we have a subtraction sign
A (t - 15)(t + 2)
b (w + 3)(w - 18)
c (2n - 1)(x + 2)