1answer.
Ask question
Login Signup
Ask question
All categories
  • English
  • Mathematics
  • Social Studies
  • Business
  • History
  • Health
  • Geography
  • Biology
  • Physics
  • Chemistry
  • Computers and Technology
  • Arts
  • World Languages
  • Spanish
  • French
  • German
  • Advanced Placement (AP)
  • SAT
  • Medicine
  • Law
  • Engineering
Arlecino [84]
3 years ago
6

How can I find two numbers whose sum is 38 and whose difference is 14

Mathematics
1 answer:
Romashka [77]3 years ago
5 0
Assume 1st num is x
and 2nd num is y
you want x+y = 38
and x-y = 14
by solving those two equations we get x = 26 & y= 12
so , the numbers is 12 & 26
You might be interested in
Here is an array of ten integers 6 4 0 3 9 8 1 7 2 5
garik1379 [7]

Answer:

[4,0,3,1,2,5] and [6,9,8,7]

Step-by-step explanation:

GIVEN:  an array of ten integers 6,4,0,3,9,8,1,7,2,5.

TO FIND: If we partition this array using Quick sort's partition function and using 5 for the pivot. List the elements of the resulting array after the partition finishes.

SOLUTION:

quick sort is a divide and conquer algorithm in which an array is partitioned into sub-arrays about an pivot element by checking whether elements are greater than pivot or and then sub arrays are sorted recursively.

Here 5 is the pivot element.

two arrays will be created, in first array element less than or equal to pivot element are stored in other elements greater than pivot element are stored.

Starting from first element of array

elements in first array will be =[4,0,3,1,2,5]

elements in second array will be =[6,9,8,7]

Hence the resulting array after the partition finishes are [4,0,3,1,2,5] and [6,9,8,7]

6 0
4 years ago
Solve for x I need help please
olchik [2.2K]
Check the picture below.

bear in mind that, a perpendicular line stemming from the right-angle like so, creates three similar triangles, a large one, containing the other two smaller ones, a medium and a small.

so.. .we can just use the medium and small proportions.

solve for "x".

5 0
4 years ago
Amelia has a 1-6 number cube (dice). She rolls the cube twice. What is the probability that she rolls two even
ryzh [129]

Answer:

6/9

Step-by-step explanation:

2/6 x 2 = 0.6... and the 6 keeps repeating. There is one repeating number, so your answer is 6/9.

4 0
3 years ago
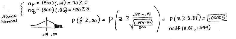
Harley-Davidson motorcycles make up 14% of all motorcycles registered in the US. You plan to interview an SRS of 500 motorcycles
Effectus [21]

0.00005 probability or 0.005%

7 0
3 years ago
Adrian just got hired for a new job and will make $40,000 in his first year. Adrian was told that he can expect to get raises of
jarptica [38.1K]

Answer:

62,500

Step-by-step explanation:

2,500 times 9 + 40,000 because he didnt get the raise the first year he started so its only times 9

8 0
3 years ago
Other questions:
  • A pet store has 15 dogs and 6 cats, which is a ratio of ?
    9·1 answer
  • A man paid 225.00 to purchase a book marked 250.00. he had 25.00 as?​
    12·1 answer
  • PLEASE QUICK!!
    15·2 answers
  • True or false? "If two angles form a linear pair, they must be supplementary?"
    11·2 answers
  • Which shows the equation of the line using function notation?
    14·1 answer
  • Can someone please explain the second part? I will give brainliest! :)
    6·1 answer
  • What is 43/8+26/5? Show your work.
    5·1 answer
  • I need help solving this
    15·2 answers
  • A pet store sells cats for $50 and dogs for $100. In only one day it sells a total of 4 pets and makes $300, find out how many c
    11·1 answer
  • GRAPHSSS HELPP PLZZZZ ASAPPPP
    5·2 answers
Add answer
Login
Not registered? Fast signup
Signup
Login Signup
Ask question!