Answer: see proof below
<u>Step-by-step explanation:</u>
Given: A + B + C = π → A + B = π - C
A + C = π - B
B + C = π - A
Use the Cofunction Identity: sin A = cos (π/2 - A)
Use the following Sum to Product Identity:
sin A + sin B = 2 sin [(A + B)/2] · cos [(A + B)/2]
Use the Double Angle Identity: sin 2A = 2 sin A · cos A
<u>Proof LHS → RHS</u>
LHS: sin (B + C - A) + sin (C + A - B) + sin (A + B - C)
Given: sin[(π - A) - A) + sin [(π - B) - B] + sin [(π - C) - C]
= sin (π - 2A) + sin (π - 2B) + sin (π - 2C)
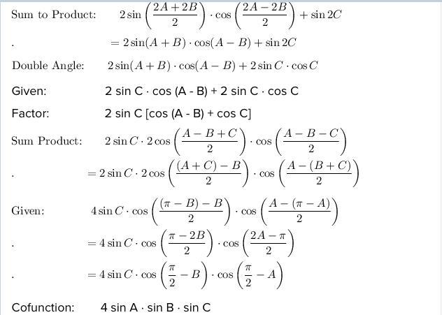
= sin 2A + sin 2B + sin 2C
= (sin 2A + sin 2B) + sin 2C


Given: 2 sin C · cos (A - B) + 2 sin C · cos C
Factor: 2 sin C [cos (A - B) + cos C]


Cofunction: 4 sin A · sin B · sin C
LHS = RHS: 4 sin A · sin B · sin C = 4 sin A · sin B · sin C 