1 answer:
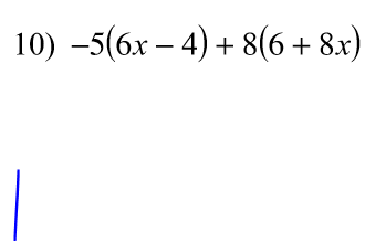
<span><span>10−<span>5<span>(<span><span>6x</span>−4</span>)</span></span></span>+<span>8<span>(<span>6+<span>8x</span></span>)
</span></span></span>Distribute:
<span>=<span><span><span><span>10+<span><span>(<span>−5</span>)</span><span>(<span>6x</span>)</span></span></span>+<span><span>(<span>−5</span>)</span><span>(<span>−4</span>)</span></span></span>+<span><span>(8)</span><span>(6)</span></span></span>+<span><span>(8)</span><span>(<span>8x</span>)
</span></span></span></span><span>=<span><span><span><span><span>10+</span>−<span>30x</span></span>+20</span>+48</span>+<span>64x
</span></span></span>Combine Like Terms:
<span>=<span><span><span><span>10+<span>−<span>30x</span></span></span>+20</span>+48</span>+<span>64x
</span></span></span><span>=<span><span>(<span><span>−<span>30x</span></span>+<span>64x</span></span>)</span>+<span>(<span><span>10+20</span>+48</span>)
</span></span></span><span>=<span><span>34x</span>+<span>78</span></span></span>
You might be interested in
Answer:
someone is adding dont worrie
Step-by-step explanation:
Answer:
<h3>8i</h3>
Step-by-step explanation:
15.4 gallons...............
Answer:
Y = A/X
Step-by-step explanation:
divide x from xy, balance the equation by dividing x from a.
Answer:
Let the number be x.
Therefore A.T.Q
