If width is w the length can be represented as 5/2+2w.
Formula for perimeter is 2l + 2w
So it would be 2w + 2(5/2 + 2w)
OR 2w + 5 + 4w
OR 6w + 5
See if this helps ;)
Answer:
The height of tower
.
Step-by-step explanation:
Diagram of the given scenario is shown below.
Given that,
Distance between John and tower is
.
Angle of elevation to the top of the tower is
°.
Height of John is
.
To Find: Height of the tower
.
So,
In triangle ΔDCE,
(∠



Now,
To calculate the height of tower we have


≈ 
Therefore,
The height of tower
.
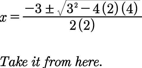
So try to get the x term to one side by itself
add 21 to both siede
3x+28=5x
subtract 3 x from both sides
28=2x
divide 2
14=x
Answer:
16% increase
Step-by-step explanation:
A percentage change can be calculated from ...
percentage change = ((new value)/(old value) -1) × 100%
= (58/50 -1) × 100% = (1.16 -1) × 100%
= 16%
Mr. Key's work hours increased 16% from last week to this.
Answer:
Step-by-step explanation:
Statment1. BD bisects ∠ABC
Reason1. Given
Statment 2. ∠ABD≅∠DBC (A)
Reason2. Definition of angle bisector
Statment 3. BD≅BD (S)
Reason3. Reflexive propriety
Statement 4. ∠BDA≅∠BDC (A)
Reason 4. Given
Statement 5 ΔABD≅ΔCDB
Reason 5. ASA theorem of congruency