1answer.
Ask question
Login Signup
Ask question
All categories
  • English
  • Mathematics
  • Social Studies
  • Business
  • History
  • Health
  • Geography
  • Biology
  • Physics
  • Chemistry
  • Computers and Technology
  • Arts
  • World Languages
  • Spanish
  • French
  • German
  • Advanced Placement (AP)
  • SAT
  • Medicine
  • Law
  • Engineering
insens350 [35]
3 years ago
7

Headland Corporation owns machinery that cost $20,000 when purchased on July 1, 2007. Depreciation has been recorded at a rate o

f $2,400 per year, resulting in a balance in accumulated depreciation of $8,400 at December 31, 2010. The machinery is sold on September 1, 2011, for $10,500.Prepare journal entries to:A) Update depreciation for 2011B) Record the sale
Business
1 answer:
Irina-Kira [14]3 years ago
5 0

Answer:

Journal Entries to:

A) Update depreciation for 2011

                                                  Dr.            Cr.

Depreciation Expenses           $1,600

Accumulated Depreciation                   $1,600

B) Record the sale

                                                  Dr.            Cr.

Cash                                      $10,500

Accumulated Depreciation  $10,000

Profit on Sale                                        $500

machinery Account                              $20,000

Explanation:

A)  Depreciation for the year 2011 = $2,400 x (8/12) =$1,600

B) Accumulated Depreciation = ( $2,400 x 3.5 ) + 1600 = $10,000

You might be interested in
A project that costs $17,000 today will generate cash flows of $4,100 per year for seven years. What is the project's payback pe
LenKa [72]

Answer:

the payback period is 4.15 years

Explanation:

The computation of the payback period is shown below:

= Initial investment ÷ Generated cash flows

= $17,000 ÷ $4,100

= 4.15 years

By dividing the initial investment from the annual cash flows per year we can get the payback period

hence, the payback period is 4.15 years

We simply applied the above formula so that the correct value could come

And, the same is to be considered  

7 0
3 years ago
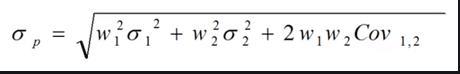
Stock X has a standard deviation of return of 10%. Stock Y has a standard deviation of return of 20%. The correlation coefficien
Andru [333]

Answer:

12.16%.

Explanation:

Standard Deviation is a financial metric that is used to quantify risk. It is used for risk management strategies. One of the main uses of Standard Deviation is to calculate the Value at Risk for a Portfolio, which is the minimum/maximum loss that a portfolio can incur over a given period of time. The formula that is used to calculate the Standard Deviation of Portfolio is attached.

Standard Deviation of Portfolio =

\sqrt{x} (.1)x^{2} * (.6)x^{2}  + (.2)x^{2}  * (.4)x^{2}  + 2 * (.6) * (.4) * (.5) * (.1) * (.2) = 12.16%.

5 0
3 years ago
In 2017, Wagner Industries purchased a piece of equipment with an estimated useful life of 10 years. Each year, Wagner expenses
mixer [17]

Answer:

This is an example of A : depreciation

Explanation:

Depreciation is an accounting method of allocating the cost of a tangible asset over its useful life and is used to account for declines in value.

3 0
3 years ago
You purchased a bond at a price of $2,100. In 30 years when the bond matures, the bond will be worth $15,000. It is exactly 22 y
Ksju [112]

Answer:

The answer is 3.8%

Explanation:

Solution

Bond purchased at price =$2100)

Maturity rate in  30 years worth =$15,000

Sale of the bond = $11,100

Now we find out what  annual rate of return will you earn from today

Now

present value =$11,100

Future value = $15,000

Bond Life = 8 years (30-22)

The annual rate of return =[(FV/PV)^(1/n) -1]

= (15000/111000^(1/8) -1

=1.351351^ (1/8) -1

= 3.8%

Therefore the annual; rate of return you will earn from today is 3.8%

7 0
3 years ago
Suppose an economy’s entire output is cars. in year 1, all manufacturers produce cars at $15,000 each; the real gdp is $300,000.
adelina 88 [10]
Formula for the Real GDP:
RGDP = Quantity in the current year x Price of the output in the base year
The base year should be the 1st year:
RGDP 1 = $300,000,  P 1 = $15,000
Q 1st = $300,000 : $15,000 = 20 cars
In the 2nd year we also have: Q 2nd = 20,produced at $16,000 each.
The Nominal GDP = 20 x $16,000 = $320,000 ( market value )
But the Real GDP = 20 x $15,000 = $300,000.
Answer: The real GDP in the year 2 is $300,000.
3 0
3 years ago
Read 2 more answers
Other questions:
  • What can a person do to help increase their credit score everfi?
    11·2 answers
  • "You are a supervisor, and an employee consistently arrives late to work, what action do you take" is a good example of what typ
    9·1 answer
  • John would like to move from the suburbs into the city, but the rent in the city is very high. John has found an apartment he re
    12·1 answer
  • What type of lien can be placed on homeowners who do not pay their home association fees? A security bail bond lien An HOA lien
    9·1 answer
  • If a common stock investment is sold at a gain, the gain Select one: a. is reported in the Other Revenues and Gains section of t
    5·1 answer
  • On January 1, 2021, Splash City issues $460,000 of 8% bonds, due in 15 years, with interest payable semiannually on June 30 and
    12·1 answer
  • An ODM is similar to an OBM in that both _____. a. execute design blueprints provided by other firms b. exclude manufacturing in
    9·1 answer
  • Rivera Company has several processing departments.
    15·1 answer
  • The inventory turnover ratios for Proctor and Gamble over the past three years are 5.09, 5.72, and 5.92 times, respectively. Exp
    13·1 answer
  • The December 31, 2020 balance sheet of Barone Company had Accounts Receivable of $400,000 and a credit balance in Allowance for
    6·1 answer
Add answer
Login
Not registered? Fast signup
Signup
Login Signup
Ask question!