1answer.
Ask question
Login Signup
Ask question
All categories
  • English
  • Mathematics
  • Social Studies
  • Business
  • History
  • Health
  • Geography
  • Biology
  • Physics
  • Chemistry
  • Computers and Technology
  • Arts
  • World Languages
  • Spanish
  • French
  • German
  • Advanced Placement (AP)
  • SAT
  • Medicine
  • Law
  • Engineering
natali 33 [55]
3 years ago
12

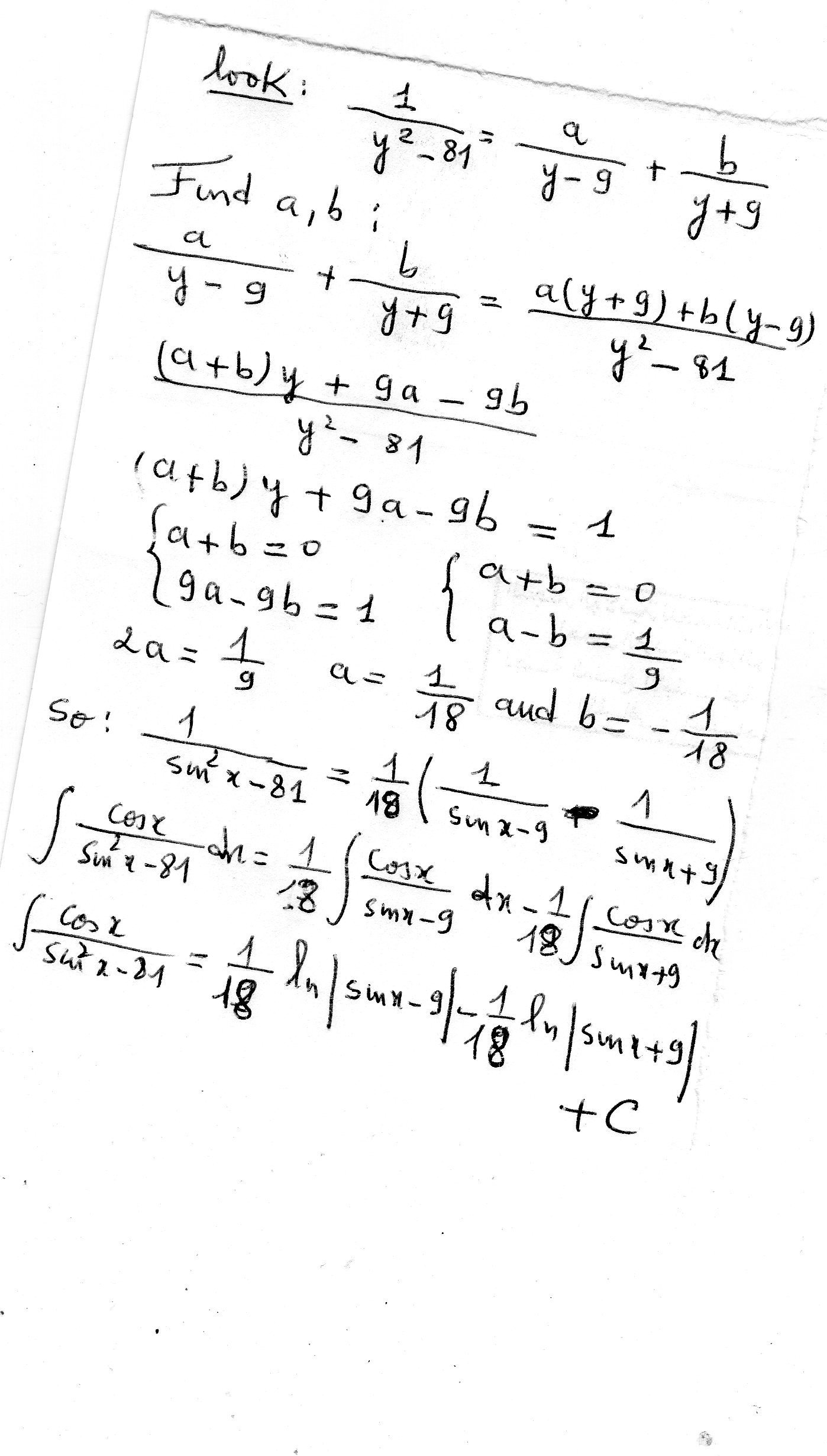
Use the table of integrals to solve integral: cos(x)/ sin^2-81 dx

Mathematics
1 answer:
Lady bird [3.3K]3 years ago
7 0
Hello here is a solution : 

You might be interested in
A cone and cylinder have the same radius and the same volume. The cylinder has a height of 10m and a radius of 12m. Find the vol
Novay_Z [31]

Answer:

4523.89m

So for a cylinder it is radius times two. Then multiply your answer by pie 3.14 then times high.

7 0
3 years ago
Read 2 more answers
Find the area of the composite figure
-BARSIC- [3]

Answer:

48 ft^2

Step-by-step explanation:

5.5 times 6 equals 33 (larger square part)

2.5 times 6 equals 15 (two triangles combined so you dont have to 1/2)

4 0
3 years ago
Write the expression-3x2+2y2+5xy-2y+5x2-3y2 in simplest form A how many terms are in the simplified expression? B how many terms
Misha Larkins [42]
If the twos mean squared...
2x^2-y^2+5xy-2y

4 terms
3 0
4 years ago
Read 2 more answers
If a restaurant bills totals $85, what amount should be left as a 15$ tips
IgorC [24]
If the total bill is $85, and you want to leave a 15% tip, then you can calculate it as follows:

85 * 15%

= 85 * 15/100

= 85 * 0.15

= 12.75

The amount that should be left as a tip is D. $12.75.
6 0
4 years ago
PLEASEE HELP ME PLEASE IT IS 30 POINTSS
Shtirlitz [24]

Answer:

B

Step-by-step explanation:

3 0
3 years ago
Read 2 more answers
Other questions:
  • Each number in the following sequence has the same relationship to the number immediately before it. How can you find the next n
    9·2 answers
  • Explain how you know that the sum of 12.6,3.1, and 5.4 is greater than 20
    5·1 answer
  • When dealing with a unit rate as a fraction, how would you get the unit rate as a denominator of one?
    14·1 answer
  • The volume of the sun is approximately 1 × 1018 cu km, while the volume of Jupiter is approximately 1 × 1015 cu km. Which of the
    13·1 answer
  • Fill in the five blanks on the function table​
    10·1 answer
  • The number of runs scored by the home team at a baseball game is represented by ( x + 10). The number of runs scored by the visi
    7·1 answer
  • You roll a cube with the numbers 13, 16, 18, 20, 22, and 24 on it. You then spin a spinner which has 6 sections. The letters on
    9·1 answer
  • What is the surface area of a sphere with radius 3?
    7·1 answer
  • Trey caught a 3 1/4 pound fish. How much did it weigh in ounces?
    11·1 answer
  • Consider the equation 4 plus v equals 8 minus startfraction 5 over 3 endfraction v.v 4 startfraction 5 over 3 endfraction v plus
    5·1 answer
Add answer
Login
Not registered? Fast signup
Signup
Login Signup
Ask question!