1answer.
Ask question
Login Signup
Ask question
All categories
  • English
  • Mathematics
  • Social Studies
  • Business
  • History
  • Health
  • Geography
  • Biology
  • Physics
  • Chemistry
  • Computers and Technology
  • Arts
  • World Languages
  • Spanish
  • French
  • German
  • Advanced Placement (AP)
  • SAT
  • Medicine
  • Law
  • Engineering
Phantasy [73]
3 years ago
6

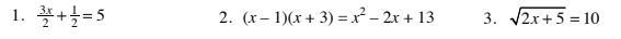
Questions in photo pls help me its due tomorrow.

Mathematics
1 answer:
Paraphin [41]3 years ago
6 0
When u simplify it will be x=3
You might be interested in
Is 92,105,600 divisible by 10?<br><br> help me plz
sveticcg [70]

Answer:

Yes 92,105,600 is divisible by 10

Step-by-step explanation:

<em>9,210,560 </em><em>is Going to be your Answer After you finish Dividing</em>

<em />

<h2>More Information↓</h2>

<em>The dividend is the number to the right and under the division line and is the number being divided. </em>

<em> </em>

<em>The divisor is the number to the left of the division line and is the number being dividing by. </em>

<em> </em>

<em>The quotient is the solution and is shown above the dividend over the division line. Often in long division, the quotient is the whole number part of the solution. </em>

<em> </em>

<em>The remainder is the remaining part of the solution, or what’s leftover, that doesn’t fit evenly into the quotient.</em>

<em />

<em />-TheAnimegirl-<em />

4 0
3 years ago
Read 2 more answers
The tuition costs, c, for a local community college are modeled by c(h) = 250 200h, where h represents the number of credit hour
user100 [1]

The number of credit hours a student have to take for the two tuition costs to be equal is 2.5 hours. Option A

<h3>Equation</h3>

  • local community college;

c(h) = 250 + 200h

  • local state University;

s(h) = 300 + 180h

Where,

  • number of credit hours taken = h

To have equal tuition in both schools,

equate both function

250 + 200h = 300 + 180h

200h - 180h = 300 - 250

20h = 50

h = 50/20

h = 2.5 hours.

The number of credit hours a student have to take for the two tuition costs to be equal is 2.5 hours.

Learn more about equation:

brainly.com/question/2972832

#SPJ1

4 0
2 years ago
Find at least three ordered pairs for slope equation y=2/5x-1
Westkost [7]
Subsitute values for x and evaluate to get values for y
when x=5, y=1
when x=0, y=-1
when x=-5, y=-3

remember, ordered pairs are in (x,y) form

so 3 ordered pairs are
(5,1)
(0,-1)
(-5,-3)
6 0
4 years ago
Read 2 more answers
Please Help!!!
Sliva [168]
You would set up equations for both the member and the non-member.
The member's equation would be: 384+8x (x being the number of rounds)
The non-member's equation would be: 48x+24x
then you would set them equal to each other and then solve:
384+8x=48x+24x
384=64x
384/64=x
x=6
they would have to play 6 rounds in order to pay the same amount.
7 0
4 years ago
If kip had 3 koolaids and he drank 1 how many koolaids dose he have left
Marizza181 [45]

Answer:

The answer is actually 2

Step-by-step explanation:

No. of koolaids Kip has = 3

No. of koolaids he drank = 1

No. of koolaid doses left = 3 - 1 = 2

6 0
4 years ago
Other questions:
  • Where is the absolute total frequency located in a two-way frequency table?
    11·1 answer
  • Kylee brought three circular rugs to put bedroom. Each rug has 6ft. Radius . What is the area of her that will be covered by all
    7·1 answer
  • 4 divide by 3,264 please help
    9·2 answers
  • An abolitionist supports which of the following causes?
    5·2 answers
  • What is 4/9 + 5/8 it's hard
    6·2 answers
  • The figure shown is a semicircle. Find its area. Round your solution to 2 decimal places.
    10·1 answer
  • WHAT IS ANGLE?<br><br><br><br>Need it right know​
    14·2 answers
  • Solve by factoring<br> x^2-10=9x
    9·1 answer
  • Consider the linear function f(x)=4x -5.<br> Find f(3), f(0), f(-2).
    12·1 answer
  • Part b evaluate each expression if b = 3 5 b + 9 + 8B + 22 + 8 + 4​
    10·2 answers
Add answer
Login
Not registered? Fast signup
Signup
Login Signup
Ask question!