1answer.
Ask question
Login Signup
Ask question
All categories
  • English
  • Mathematics
  • Social Studies
  • Business
  • History
  • Health
  • Geography
  • Biology
  • Physics
  • Chemistry
  • Computers and Technology
  • Arts
  • World Languages
  • Spanish
  • French
  • German
  • Advanced Placement (AP)
  • SAT
  • Medicine
  • Law
  • Engineering
deff fn [24]
3 years ago
11

Consider the concierge service at a large resort. The concierge helps guests with various tasks, including reservations at local

restaurants or offering advice on various local activities. On average, 15 guests arrive at the concierge desk per hour with a coefficient of variability of 0.5. The hotel has only one concierge on service. It takes the concierge, on average, 3 minutes to help the guest with their questions. The standard deviation of this time is 3 minutes.
a) What is the average time a guest has to wait before talking to the concierge?

b) How many guests will, on average, be at the concierge’s desk (either talking to the concierge or waiting in line)? (Your answer does NOT have to be an integer.)

c) If the hotel decides to add a 2nd concierge, what will be the impact ?

Mathematics
1 answer:
dlinn [17]3 years ago
7 0

Answer:

Step-by-step explanation:

Arrival rate of guests: R = 15 per hour.

Number of concierge services: c =1, mean = 3 min, Standard deviation = 3 min , so

Rp = c/Tp = 1/3 per min or 20 per hour.

U= R/Rp = 15/20= 0.75

Average service time: Tp = 3 min

Standard deviation of service time: Sp = 3 min

Coefficient of variation for service time: Cp = Sp /Tp = 3/3 =1

Average inter-arrival time: Ta = 1/R = 1/15 hr = 4 min

Ca=0.5

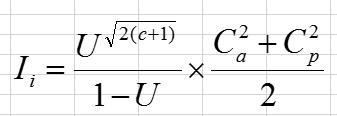
Considering the formula, for M/G/1 queue which is attached to this solution.

B ) Putting the values in the formula , we get I = 2.875 – Number of customers in the waiting line

How long a customer wait in the concierge line?

RT=I, rate of arrival x time = Number of customers in the waiting line

15xT=2.875, solving for T

T=2.875*60/15= 11.5 minutes

c) the number of service = C= 2

Number of concierge services: c =1, mean = 3 min, Standard deviation = 3 min, so

Rp = c/Tp = 2/3 per min or 40 per hour.

U= R/Rp = 15/40= 0.375

Average service time: Tp = 3 min

Standard deviation of service time: Sp = 3 min

Coefficient of variation for service time: Cp = Sp /Tp = 3/3 =1

Average inter-arrival time: Ta = 1/R = 1/15 hr = 4 min

Ca=0.5

Considering the formula, for M/G/2 queue ,

Substituting values in above equation,

I = 0.769 , Number of customers in the waiting line. Also,

RT=I, rate of arrival x time = Number of customers in the waiting line

15xT=0.769, solving for T

T=0.769*60/15= 3.07 minutes , so the wait time reduces , as evident

You might be interested in
(6/11+2/11)x 3/7 = ?
Natali5045456 [20]

Answer:

answer in the pic

Step-by-step explanation:

if u just wanted calculated answer then-0.31168831168

7 0
3 years ago
Read 2 more answers
0.25x2 -0.25x - 10.5 = 0<br><br>​
Tpy6a [65]

x=7 or x=-6

Let's solve your equation step-by-step.

0.25x2−0.25x−10.5=0

For this equation: a=0.25, b=-0.25, c=-10.5

0.25x2+−0.25x+−10.5=0

Step 1: Use quadratic formula with a=0.25, b=-0.25, c=-10.5.

x=

−b±√b2−4ac

2a

x=

−(−0.25)±√(−0.25)2−4(0.25)(−10.5)

2(0.25)

x=

0.25±√10.5625

0.5

x=7,−6

6 0
3 years ago
This equation shows how the total number of pieces Lamar has learned depends on the number of weeks he has taken piano lessons.
Dominik [7]

Answer:

19 weeks

Step-by-step explanation:

Given equation:

P = w

Where,

w = the number of weeks he has taken piano lessons

p = the total number of pieces he has learned

how many weeks of piano lessons will Lamar need before he will be able to play a total of 19 pieces?

Find w when p = 19

P = w

p = 19

Since P = w

19 = w

Therefore,

w = 19

Lamar need 19 weeks before he will be able to play a total of 19 pieces

3 0
3 years ago
A delivery truck traveled 133 miles in 3.5 hours. What was the average speed of the delivery truck in miles per hour
Korolek [52]
The average speed of the delivery truck would be 136.5
8 0
4 years ago
Read 2 more answers
6 is 4% of what number?​
Arisa [49]

Answer:

150

Step-by-step explanation:

4% of 150 is 6. 100% of 150 is 150, therefore 4 percent of 150 equals 6

7 0
3 years ago
Read 2 more answers
Other questions:
  • How do I find the value of x
    15·2 answers
  • Which comparison statement is true? A: 729,853 &gt; 729,799 B: 729, 853&lt; 729,800 C: 729,853&gt;729,,853 D: 729,849
    13·1 answer
  • What is the slope?
    13·1 answer
  • Which is heavier a pound of bricks or a pound of feathers?
    13·2 answers
  • Please answer my questions!
    15·1 answer
  • What’s the answer???????
    7·1 answer
  • Ill help just cal me MAMAS
    10·1 answer
  • When the movie the hunger games was released it made $493,000 the first day. box sales continued to double every three days how
    12·1 answer
  • the distance between two towns is 300 km two cars start simultaneously from this towns and move towards each other the speed of
    7·1 answer
  • Select all ratios equivalent to 6:3<br> 42:21<br> 14:7<br> 9:1​
    13·2 answers
Add answer
Login
Not registered? Fast signup
Signup
Login Signup
Ask question!