1answer.
Ask question
Login Signup
Ask question
All categories
  • English
  • Mathematics
  • Social Studies
  • Business
  • History
  • Health
  • Geography
  • Biology
  • Physics
  • Chemistry
  • Computers and Technology
  • Arts
  • World Languages
  • Spanish
  • French
  • German
  • Advanced Placement (AP)
  • SAT
  • Medicine
  • Law
  • Engineering
Allushta [10]
3 years ago
14

Disk drives have been getting larger. Their capacity is now often given in terabytes (TB) where 1 TBequals1000 gigabytes, or abo

ut a trillion bytes. A survey of prices for external disk drives found the data shown to the right. Find and interpret value of Rsquared.
Capacity (in TB) 0.080 0.130 0.280 0.490 2.0 3.0 4.0


Price (in $) 28.00 41.45 50.00 74.99 215.79 366.99 393.00


What is the value of Upper R squared?


What is the interpretation of Upper R squared? The value of Upper R squared equals _____ indicates the percentage of the variability in the price of these disk drives that can be explained by the variability in the capacity of the drives. (Round to two decimal places as needed.)

Computers and Technology
1 answer:
ladessa [460]3 years ago
8 0

Answer:

- Correlation coefficient between the price and the capacities is computed to be 0.99033.

R squared = 0.981

- Interpretation of the result

Since the correlation coefficient and subsequently R squared are both very close to 1, this indicates a very high positive correlation, close to a perfect positive correlation between price and capacities of external storage drives.

Explanation:

Let the capacity be x

And the price be y

Capacity (in TB) 0.080 0.130 0.280 0.490 2.0 3.0 4.0

Price (in $) 28.00 41.45 50.00 74.99 215.79 366.99 393.00

Mean of capacity, xbar = (Σx/n)

Note that Σx represents the sum of all the capacities given = 10.01

N = Sample size = 7

mean of capacity, xbar = 1.43 (in TB)

Mean of price, ybar = (Σy/n)

Note that Σy represents the sum of all the prices given = 1170.26

N = Sample size = 7

Mean of price, ybar = $167.18

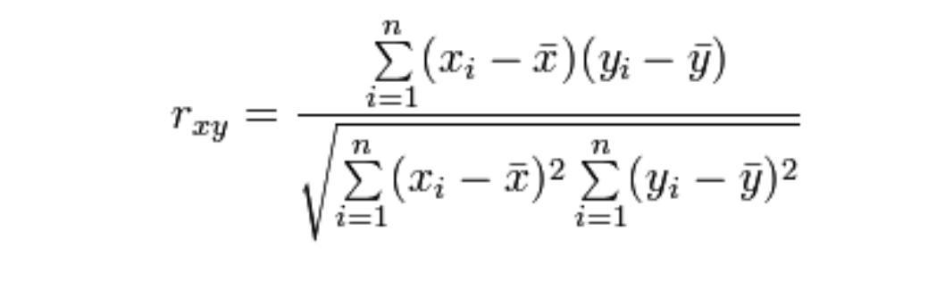
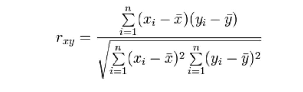
- The formula for the correlation coefficient is given in the first attached image.

- xbar and ybar are given as x and y with bars over their heads.

- xᵢ and yᵢ represent each of the variables of capacities and price respectively.

- And n ranges from 1 to 7.

- The graph of price against capacities is also attached in the second attached image

On computing the correlation coefficient,

The correlation coefficient = 0.99033

R squared = 0.99033² = 0.981

The correlation coefficient and R squared are very close to 1.

Hope this Helps!!!

You might be interested in
What type of font color should Kim select if she chooses a dark-colored design theme for her presentation?
Gnesinka [82]

ANSWER: Kim has chosen a dark-colored design theme for her presentation. She should therefore choose <u>a bright </u> font color that will <u>contrast with  </u>the background color.

5 0
4 years ago
Read 2 more answers
Double clicking the top right corner of a document will
Novosadov [1.4K]

Answer:

open the header. hope this helps

8 0
3 years ago
When Judy logged on the network, she faced the message requesting that she changes her password. So, she changed her password. B
jeka94

Answer:

Because reusing the old passwords possess security threats.

Explanation:

A password can be defined as a string of characters or words or phrases that are used to authenticate the identity of the user. It is also known as passcode and should be kept confidential. A password is used to access constricted systems, applications, etc.

A password or passcode is usually composed of alphabets, numbers, symbols, characters, alphanumeric, or a combination of these.

<u>In the given case, Judy was not able to change her passcode to the previous one because reusing old passwords is prohibited in any sites or systems. A system denies the user to reuse the old passwords for various reasons but most importantly due to security reasons. Though it is said that old passwords can be used after 100 times but seldom someone changes a password that much. All systems care for the security of their users thus they deny reusing old passcodes.</u>

6 0
3 years ago
are designed to locate information based on the nature and meaning of Web content, not simple keyword matches Select one: a. Cra
san4es73 [151]

Answer: C. Semantic Search Engines

Explanation:

Semantic search is simply search with meaning. It is designed to locate information based on the nature and meaning of Web content, not simple keyword matches (like in lexical searches)

4 0
3 years ago
As part of their extensive kitchen remodel, the Lees told their electrical contractors that they would need plenty of outlets fo
Vanyuwa [196]

The kind of wire and circuit breaker are:  grounding wire such as fairly large bare copper wire.

<h3>What is the best wire for the above?</h3>

A 20A, 120V small-appliance branch circuit is known to be  used in the case above.

Note that Electric range circuits needs about 50-amp, 240-volt made for circuit that is said to supplies the power to the range or oven via  a 6-3 electrical wire.

Learn more about circuit breaker from

brainly.com/question/8976395

#SPJ1

5 0
2 years ago
Other questions:
  • IT professionals recognize that successful systems must be user-oriented, and users need to be involved, formally or informally,
    11·1 answer
  • If you do not specify any criteria in a delete query, Access will delete all the records in the table. Truth or False
    11·1 answer
  • You want to be able to identify the services running on a set of servers on your network. Which tool would best give you the inf
    11·1 answer
  • Explain the three schemes via which the binding of instructions and data to memory addresses can be done. In each scheme, how th
    13·1 answer
  • Write a function template that accepts an argument and returns its absolute value. The absolute value of a number is its value w
    11·1 answer
  • How can you relate the careers in Finance as BSIS students?
    15·1 answer
  • Writers in our networked world enhance their credibility by
    5·1 answer
  • Will social media lose its relevance?​
    6·1 answer
  • Helppppppppppppppppppppppppppppppppp
    13·2 answers
  • Question 1 Which portion of the PuTTY package allows you to perform file transfers using the SCP (Secure Copy) protocol?
    12·1 answer
Add answer
Login
Not registered? Fast signup
Signup
Login Signup
Ask question!