Answer:
It's actually: None of these.
Think about it: In this case we have an inequality, of x ≤ 0.
This basically means, that x can be less than OR equal to 0.
But 0 is neither negative or positive, so we can eliminate the following answer choices:
- all positive integers
- all negative real numbers
- all positive real numbers
- all negative integers
And we are left with "None of these"
Let me know if this helps!
Answer:
Greatest number of flowers that can be used in a bouquet is 8.
Step-by-step explanation:
In this question greatest number of flowers used in a bouquet will be decided by the "Greatest Common Factor" of the numbers of the flowers given.
So, factors of 16 = 1×2×2×2×2
Factors of 8 = 1×2×2×2
Factors of 32 = 1×2×2×2×2×2
Common factors = 1×2×2×2
Greatest Common Factor of these numbers will be = 1×2×2×2 = 8.
Therefore, greatest number of flowers that could be in a bouquet is 8.
H(x) = x - 7
g(x) = x^2
(g * h)(x) = x^2 (x - 7)
(g * h)(5) = 5^2 (5 - 7)
Answer:
Step-by-step explanation:

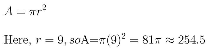
Answer: 254.5
Step-by-step explanation: