the answer is B because it is 90° to the left (i guessed, srry for takin ya points dawg)
Answer:
A pound of potato costs $3.10
A dozen egg costs $5.5
A wheel of cheese costs $6.25
Step-by-step explanation:
Represent
- a dozen egg with D
- a wheel of cheese with W
- a pound of potato with P
For Adam:
---- (1)
For Barry:
---- (2)
For Charles:
---- (3)
Make D the subject in (2)

Substitute 36.50 - 10P for D in (3)



Collect Like Terms



Solve for P


Substitute 3.1 for P in 



Substitute 3.1 for P and 5.5 for D in 


Solve for W


Answer:
2
Step-by-step explanation:
Given expression:
y^2 - 5y - 4
y = 6
Substitute y = 6 into the expression
y^2 - 5y - 4
6^2 - 5(6) - 4
(6*6) - (5*6) - 4
36 - 30 - 4
36 - 34
2
The value of the expression y^2 - 5y - 4 is 2 when y = 6
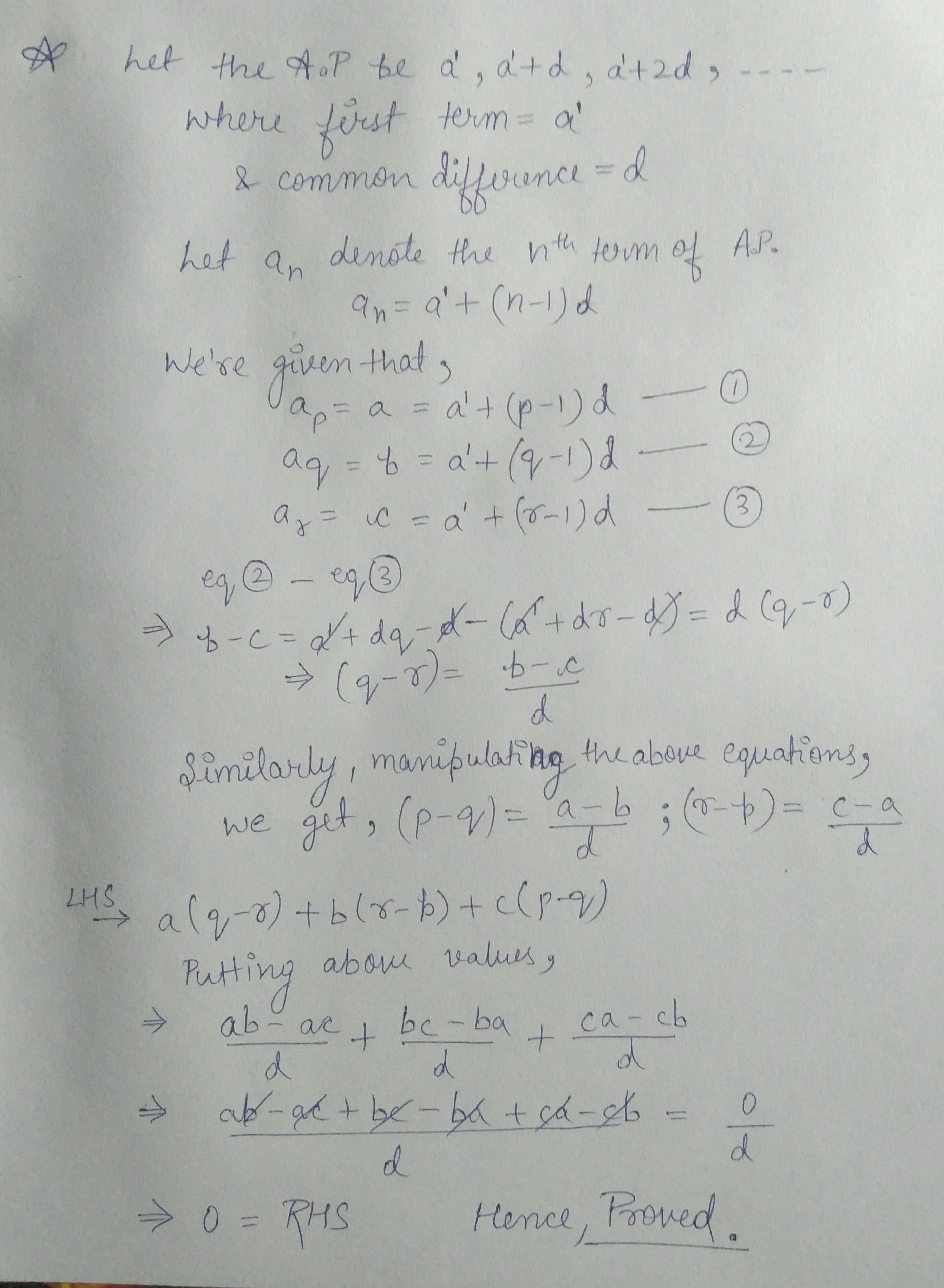
◆ ARITHMETIC PROGRESSIONS ◆
Heya !
Check the attachment.
Hope it helps you ;)
Answer: i think its 2
Step-by-step explanation: