1answer.
Ask question
Login Signup
Ask question
All categories
  • English
  • Mathematics
  • Social Studies
  • Business
  • History
  • Health
  • Geography
  • Biology
  • Physics
  • Chemistry
  • Computers and Technology
  • Arts
  • World Languages
  • Spanish
  • French
  • German
  • Advanced Placement (AP)
  • SAT
  • Medicine
  • Law
  • Engineering
just olya [345]
3 years ago
7

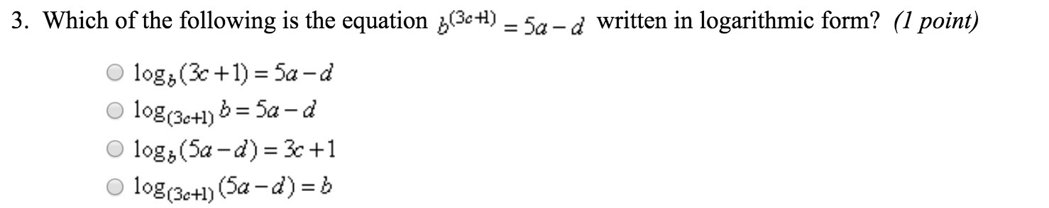
Which of the following is the equation written in logarithmic form?

Mathematics
1 answer:
BaLLatris [955]3 years ago
6 0

Given the expression b^{3c+1}=5a-d.

Take a logarithm \log_b from both side of the given expression:

\log_b b^{3c+1}=\log_b (5a-d).

From the property \log_a a^x=x, you have that

\log_b b^{3c+1}=3c+1.

Then

3c+1=\log_b (5a-d).

Answer: correct choice is C

You might be interested in
Harold, Clara, and Mark each chose a different lunch from three categories:
Yanka [14]

Answer:

a) Harold

b) Clara

Step-by-step explanation:

Each person has chose a different lunch. Based on this context, it means no one can have the same lunch item.

A explanation)

  • Mark must eat soup since he doesn't eat bread (sandwich) or salads.
  • Clara must eat salad since Mark is eating the soup and Clara doesn't eat sandwiches.
  • Therefore, Harold must eat the only different lunch item; sandwich. Since Harold had the sandwich, he also has the milk.

B explanation)

  • The person who had soup had iced tea; meaning Mark drank Iced Tea.
  • The person who had the sandwich also had the milk; Harold drank milk.
  • The only person missing a drink is Clara, so she ordered mineral water.
8 0
3 years ago
What is the value of x in the equation
Brilliant_brown [7]

Answer:

x=7

Step-by-step explanation:

8 0
3 years ago
Read 2 more answers
Use Gauss-Jordan elimination to solve the following linear system:
Olenka [21]
-3x + 4y = -6

20x - 4y = 40
-----------------------
17x = 34

x = 2

5(2) - y = 10

10 - y = 10

y = 0

the correct answer is D. (2,0)
4 0
3 years ago
Read 2 more answers
A right triangle has a 30o angle. The leg adjacent to the 30o angle measures 25 inches What is the length of the other leg? Roun
timama [110]
Check the picture below

make sure your calculator is in Degree mode.

8 0
3 years ago
Read 2 more answers
The sum of two numbers is 20. The greater number is 4 more than the lesser number. What are the two numbers ?
ASHA 777 [7]
The two numbers would be 12 and 8 because 12 is 4 more than 8 and so the sum of 12 and 8 is 20.
8 0
3 years ago
Read 2 more answers
Other questions:
  • 0.8 is 10 times as great as which decimal
    11·2 answers
  • What equals 42 & 50 in multiplication Thanks So Much!!!!!!!
    11·2 answers
  • Let f ( x ) = 5.5 sin ( x ) − 4.8 cos ( x ) . what is the maximum and minimum value of this function?
    13·1 answer
  • Let x represented the time of the dive . Let y represented the depth of the submarine. Right and equation for the proportional r
    14·1 answer
  • A view that shows half of an object as a sectional view and the other half of the object as a normal view is called a __________
    5·1 answer
  • I NEED HELP ASAP PLEASE
    5·2 answers
  • An 8% decrease from $5 per hour is ?
    13·1 answer
  • Are these correct? Someone who has done this before or good at angles should answer.
    14·2 answers
  • Help on #1 please thank you !!
    13·2 answers
  • PLS HELP THIS IS HARD ANYONE PLS
    11·1 answer
Add answer
Login
Not registered? Fast signup
Signup
Login Signup
Ask question!