1answer.
Ask question
Login Signup
Ask question
All categories
  • English
  • Mathematics
  • Social Studies
  • Business
  • History
  • Health
  • Geography
  • Biology
  • Physics
  • Chemistry
  • Computers and Technology
  • Arts
  • World Languages
  • Spanish
  • French
  • German
  • Advanced Placement (AP)
  • SAT
  • Medicine
  • Law
  • Engineering
tigry1 [53]
3 years ago
11

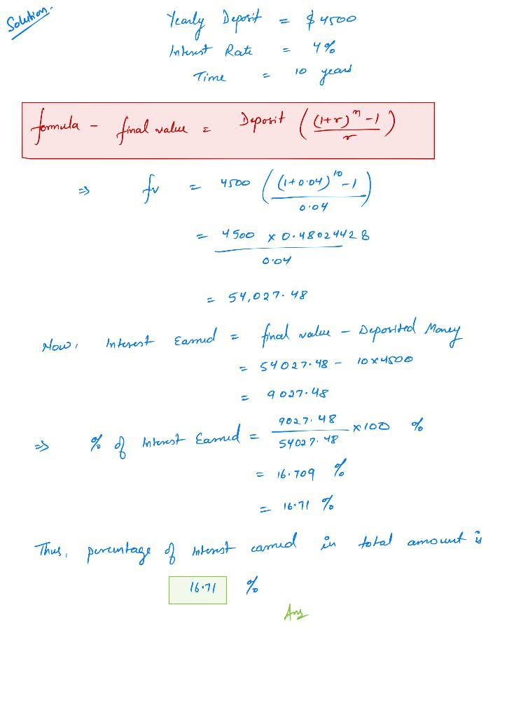
Suppose an annuity pays 4% annual interest, compounded annually. If you invest $4,500 in this annuity for 10 years, what percent

age of the total is interest earned?

Mathematics
1 answer:
Rainbow [258]3 years ago
4 0

Answer:

attached below

Step-by-step explanation:

You might be interested in
2 1/4 × 3 1/5 need the answer in its simplest form please
tatyana61 [14]
7 1/5 is the answer
6 0
3 years ago
Read 2 more answers
Find the total capacity of 25 containers of cranberry juice if each bottle holds 5 quarts 1 pint 6 oz
kaheart [24]
Find the total capacity of 25 containers of cranberry juice is each bottle holds 5/4 one pant 60Z
5 0
3 years ago
The parent function, f(x) = 5x, has been vertically compressed by a factor of one-half, shifted to the left three units and up t
alexgriva [62]
We are given the parent function, f(x) = 5x and is vertically compressed by a factor of 1/2, shifted to the right (3 units) and down two units. 

Vertical compression makes the function:

f(x) = (1/2) * 5x

shifted 3 units to the right makes the function:

f(x) = (1/2) * 5 (x+3)

shifted 2 units down makes the function:

f(x) = (1/2) *(5 (x+3)) - 2 

therefore, this function is the resulting function after performing all three adjustments of the parent function. First, compression, then shift to left/right, then shift up and down. 
3 0
3 years ago
I NEED HELP ASAP //<br> GIVING BRAINLEIST IF RIGHT
Stella [2.4K]
One shift down three shift right so 1 down 3 right
4 0
3 years ago
Read 2 more answers
24x+3(4-w)&lt;115 PLEASE HELP ME!!
White raven [17]
Equation:
24 x + 3 ( 4 - w ) < 115
1. First we multiply 3 and 4, as well as 3 and w:
24 x + 12 - 3 w < 115
2. We subtract 12 from 115
24 x - 3 w < 103
3. We divide 103 by 24
- 3 w < 4.291666667
4. Lastly, we divide 4.291666667 into - 3
w < - 1.430555556
***Remember to turn the sign***
7 0
4 years ago
Other questions:
  • A rabbit hopped 11 meters in 6 minutes. At that rate, how far did the rabbit hop in 8 minutes?
    5·2 answers
  • Please Help me! FAST!! Look below to answer my question.
    9·2 answers
  • PLEASE HELP! WILL MARK BRAINLIEST!
    5·1 answer
  • 2x + 7 = x + 3 what is X ?
    11·2 answers
  • On
    8·1 answer
  • Which equation best represents the relationship between x and y in the graph
    5·1 answer
  • I’ll give brainlest if you help me with this!
    6·1 answer
  • Can you show the work for 444*31
    12·1 answer
  • IF A KIND SOUL WILL HELP ME OUT I WOULD BE SO GRATEFUL!!!!!!!!!
    9·1 answer
  • Translate the sentence into an equation.
    6·2 answers
Add answer
Login
Not registered? Fast signup
Signup
Login Signup
Ask question!