1answer.
Ask question
Login Signup
Ask question
All categories
  • English
  • Mathematics
  • Social Studies
  • Business
  • History
  • Health
  • Geography
  • Biology
  • Physics
  • Chemistry
  • Computers and Technology
  • Arts
  • World Languages
  • Spanish
  • French
  • German
  • Advanced Placement (AP)
  • SAT
  • Medicine
  • Law
  • Engineering
Hatshy [7]
4 years ago
13

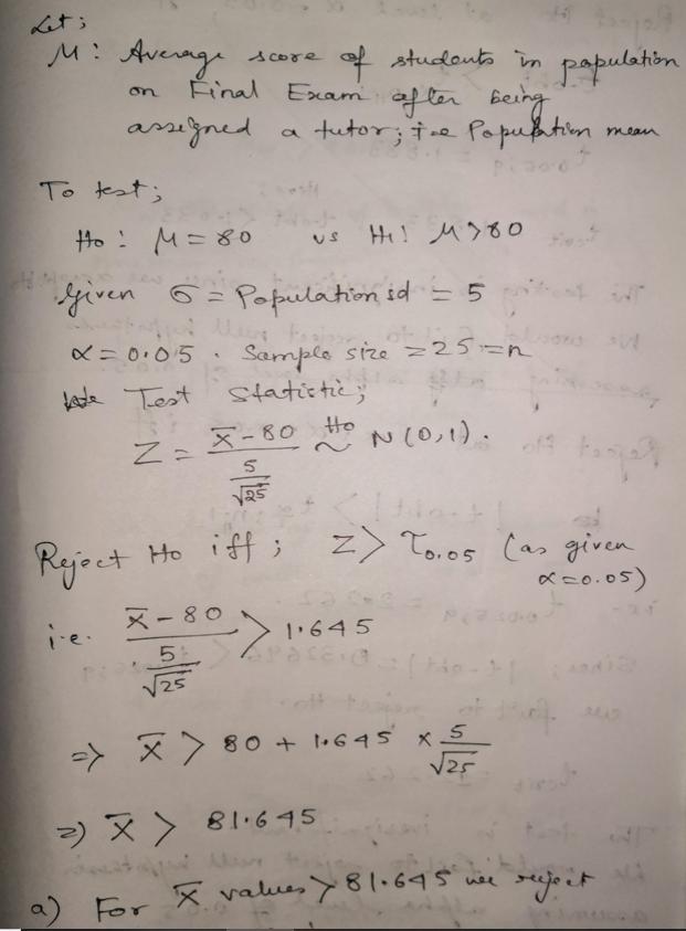
• Historically, students in a statistics course receive an average score of 80 on the final exam with a standard deviation of 5.

• One semester, 25 randomly chosen students are assigned a tutor who they meet with once a week. • Let X¯ be the average score on the final exam for those 25 students. • Assume that the standard deviation of final exam scores is completely unaffected by the tutoring, but that the tutoring could potentially increase exam scores (one sided test). Your null hypothesis is that tutoring has zero effect on final exam grades, and you are using a significance level of .05. (a) Under what values of X¯ would you reject the null hypothesis? (b) Suppose the null hypothesis is true. What is the probability of rejecting the null hypothesis? (c) Suppose, the null is false, and tutoring raises scores by 3 points for all students who receive it. What is the probability that X¯ will be far enough away from 80 for you to reject the null hypothesis? (d) What if tutoring raises scores by 1 point. What is the probability that X¯ will be far enough away from 80 for you to reject the null hypothesis? (e) How large would your sample have to be to have a 90% chance of rejecting the null hypothesis (assuming still that tutoring raises scores by 1 point).

Mathematics
1 answer:
JulijaS [17]4 years ago
8 0

Answer:

Step-by-step explanation:

You might be interested in
Need help finding the slope of 5/2​
kvv77 [185]
I think it’s A, B, C or D
4 0
3 years ago
There are 140 people in a singing competition. The graph shows the results for the first five rounds
SOVA2 [1]

a) The expression is y = 140 - 15 x

b ) There are 5 participants in the 9th round

Step-by-step explanation:

Step 1 :

From the graph we can see that,

Number of people in the singing competition = 140

Number of people in the first round = 125

Number of people in the second round = 110

Number of people in the third round = 95

Number of people in the fourth round = 80

Number of people in the fifth round = 65

Step 2 :

From the given data, We can get that the difference between the number of people participating in each round is 15 less than the previous round .

The first round has 15 people less than the total number 140

Let x represent the number of the round and y represent the number of people participating in each round .

Then the expression to represent this would be

y = 140 - 15 x

Step 3 :

To find the number of participants in the 9th round given the same pattern continues.

For the 9th round x = 9, as x represents the number of the round

Substituting this in the equation obtained in step 2, we get

y = 140 -15 (9) = 140 - 135 = 5

There are 5 participants in the 9th round

Step 4 :

Answer :

a) The expression is y = 140 - 15 x

b ) There are 5 participants in the 9th round

4 0
4 years ago
BRAINLIEST TO EVERY ONE <br> WHO ANSWER THIS QUESTION<br> WITH A PROPER EXPLANATION
insens350 [35]

Answer:

4 tiles

Step-by-step explanation:

If the width is 84 cm, let's take a 84cm lengthed tile.

in the remaining part we get 112-84=28 cm

let's check whether 84÷ 28 is a whole number. if it's a whole number we can keep the n number of 28 cm length tile

84÷28=3

luckily we dont need to think a lot. just put 3, 28 cm tile in the balance part .

she only needs 4 tiles to fill the table

6 0
3 years ago
The difference of 16 and a number, divided by 2
valentinak56 [21]

Answer:

8

Step-by-step explanation:

8 0
2 years ago
Read 2 more answers
What is the cell doing during the Sphase of interphase?
Studentka2010 [4]

Answer:

Synthesis or replication of DNA

Step-by-step explanation:

You can remember that because synthesis starts with an S

3 0
3 years ago
Other questions:
  • Find x and the measures of the indicated parts.
    10·1 answer
  • The probability that a randomly selected person does not have a birthday on October 10 is
    12·1 answer
  • 10% of what number is 16?
    7·2 answers
  • If the speed limit of a highway is 60 mph, which car exceeded the speed limit? Assume all the cars were traveling at a constant
    7·2 answers
  • Help me I need to pass so I can go on to the next thing plz someone help me​
    14·2 answers
  • (6x)+9=15 solve for the absolute value equation
    14·1 answer
  • A hockey puck slides across an ice pond at a constant speed of 18 meters per second. Complete the table to determine the distanc
    5·1 answer
  • I need help like now <br><br> What number should go in Box A?<br><br> 3( A ) = -2+(-2) + (-2) = B.
    5·1 answer
  • X intercept for y = - x- 4 - 7
    13·2 answers
  • Name two quadrilaterals that have four right angles.
    13·1 answer
Add answer
Login
Not registered? Fast signup
Signup
Login Signup
Ask question!