Will mark the brainliest if the problem is solved! However, process must be included.
2 answers:
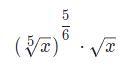
Answer:

Step-by-step explanation:
Step 1: Convert
into fraction exponent

Step 2: Combine the exponential fractions

Step 3: Convert√x into fractional exponent

Step 4: Multiply

And we have our final answer!
Answer:
x^(2/3) Or (³√x)²
Step-by-step explanation:
This can be rewritten as
x^(1/5 × 5/6) × x^(1/2)
= x^(1/6 + 1/2)
= x^(4/6)
= x^(2/3)
Or (³√x)²
You might be interested in
Answer:
see explanation
Step-by-step explanation:
A difference of two squares is factored as
a² - b² = (a - b)(a + b)
(g)
1 - 81y²
= 1² - (9y)²
= (1 - 9y)(1 + 9y)
(j)
64x² - 25y²
= (8x)² - (5y)²
= (8x - 5y)(8x + 5y)
Answer:
10f-30g
Step-by-step explanation:
we have:
5(2f - 6g)
we apply distributive property:
5(2f - 6g)
5*2f+5*(-6g)
finally we have:
10f-30g
9-4=-5 would be the smallest answer
Darn it i was looking for the same thing
Answer:
1+8+2/4 = 9.5
Step-by-step explanation:
yeppp that's itttt