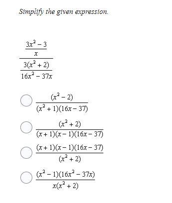
Answer:
C
Step-by-step explanation:
Simplify the numerator/ denominator
← factor out 3 from each term on the numerator
=
← factor (x² - 1) as a difference of squares
= 
---------------------------------------------
← factor out x from each term on the denominator
= 
---------------------------------------------
÷ 
To divide the expressions
Leave the first fraction, change division to multiplication and turn the second fraction upside down, that is
× 
Cancel the x's and the 3's on the numerator/ denominator, leaving
→ C