1answer.
Ask question
Login Signup
Ask question
All categories
  • English
  • Mathematics
  • Social Studies
  • Business
  • History
  • Health
  • Geography
  • Biology
  • Physics
  • Chemistry
  • Computers and Technology
  • Arts
  • World Languages
  • Spanish
  • French
  • German
  • Advanced Placement (AP)
  • SAT
  • Medicine
  • Law
  • Engineering
zimovet [89]
3 years ago
12

Amber trains for 1h one day. She runs for 10 min, walks for 5 min, runs for 15 min, and walks for 5 min. Her running time increa

ses by 5 min each interval, but she always walks for 5 min. Use fractions of one hour. Write an addition equation that represents Amber's total running time. Find her total running time.
Mathematics
1 answer:
stich3 [128]3 years ago
5 0

Answer:

Part A

The addition equation that gives Amber's total running time is presented as follows;

Amber's total running time = 1/6 hr + (1/6 + 1/12) hr  + 5/12 hr

Part B

Amber's total running time = 5/6 hr = 50 minutes

Step-by-step explanation:

Part A

The given parameters are;

The time duration Amber first ran = 10 min = 1/6 hr

The time duration Amber walks in between = 5 min = 1/12 hr

The increase in the number of minutes Amber runs in subsequent times = 5 min = 1/12 hr

Therefore, the Amber's total time is given as follows;

1/6 hr + 1/12 hr + (1/6 + 1/12) hr + 1/12 hr + x hr = 1 hr

7/12 hr + x hr = 1 hr

x hr = 1 hr - 7/12 hr  = 5/12 hr

x = 5/12

Therefore, her total running time is given by the following addition equation;

Amber's total running time = 1/6 hr + (1/6 + 1/12) hr  + 5/12 hr

Part B

Therefore her total running time is given as follows;

Amber's total running time = 1/6 hr + (1/6 + 1/12) hr  + 5/12 hr = 5/6 hr = 50 minutes

You might be interested in
John invests $10,000 for three years at 10% compounded annually. How much will John have after the three years?
fiasKO [112]
<span>12100
I think I've done this before and that's the answer
</span>
4 0
3 years ago
Read 2 more answers
Find the x-intercept of the line <br> 2x+4y=8<br> (2,4)<br> (0,2)<br> (4,0)<br> (4,2)
TEA [102]
The answer is (0,2). how I got that answer was I multiplied 2 by 0 and added 4 by 2 and I got 8
7 0
4 years ago
One hot balloon is 510 feet above the sea level and begins to descend at a rate of 3
Sloan [31]

Answer:

What's the question.?????????

3 0
4 years ago
The sum of two numbers exceeds their product by one.Their difference is equal to their products less five .Find the two numbers
Ludmilka [50]

Answer:

1 and 3

Step-by-step explanation:

If the two numbers are x and y, then:

x + y = xy + 1

x − y = xy − 5

Subtract the two equations:

(x + y) − (x − y) = (xy + 1) − (xy − 5)

x + y − x + y = xy + 1 − xy + 5

2y = 6

y = 3

Solve for x:

x + 3 = 3x + 1

2 = 2x

x = 1

The numbers are 1 and 3.

4 0
3 years ago
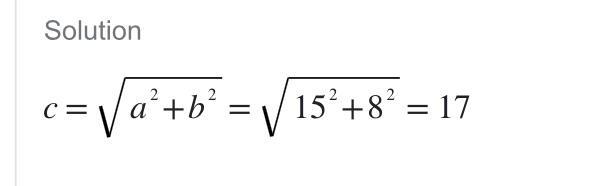
Calculate the value of d
tangare [24]
First you find the base of the big triangle which is also the same bass of the small triangle, so you use the pythagoras theorem on the small triangle and you get: 8 (the first picture)

After that you have 2 sides of the big triangle so you do the pythagoras theorem again and you get: 17 (second picture)

5 0
3 years ago
Read 2 more answers
Other questions:
  • What's the answer ? To this problem
    10·2 answers
  • Can someone factor this problem for me?
    9·2 answers
  • Which of the following expressions represents the phrase “twice the sum of a number and 5”
    9·1 answer
  • .003 is 1/10 of what decimal
    15·2 answers
  • This , i don't know how to do this , I don't know how to find a, would you help me ?
    15·1 answer
  • Which statement explains how you could use coordinate geometry to prove that quadrilateral ABCD is a parallelogram?
    9·1 answer
  • Which expression represents the correct form of the partial fraction decomposition of StartFraction 19 x + 20 Over x squared min
    13·2 answers
  • HELP HELP HELP HELP PLEASE
    10·2 answers
  • Find the slope of the line containing the pair of points. ​(​7,​4) and ​(6​,-9​)
    7·2 answers
  • I am confused. Can somebody explain this to me?
    12·1 answer
Add answer
Login
Not registered? Fast signup
Signup
Login Signup
Ask question!