1answer.
Ask question
Login Signup
Ask question
All categories
  • English
  • Mathematics
  • Social Studies
  • Business
  • History
  • Health
  • Geography
  • Biology
  • Physics
  • Chemistry
  • Computers and Technology
  • Arts
  • World Languages
  • Spanish
  • French
  • German
  • Advanced Placement (AP)
  • SAT
  • Medicine
  • Law
  • Engineering
Orlov [11]
3 years ago
14

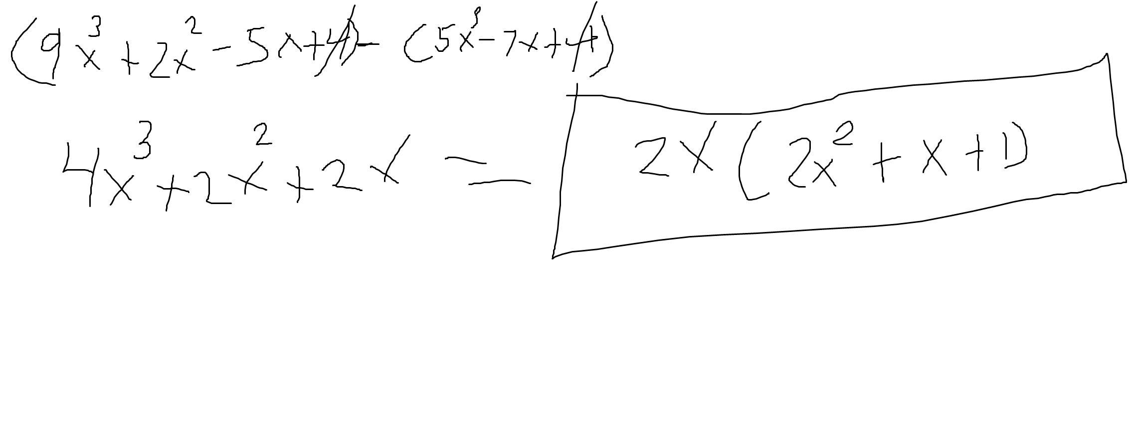
Note: Enter your answer and show all the steps that you use to solve this problem in the space provided.

Mathematics
1 answer:
Evgesh-ka [11]3 years ago
3 0

Answer:

2x(2x²+x+1)

Step-by-step explanation:

work below

You might be interested in
Some government leaders propose allowing oil companies to drill in currently protected lands that may be rich in oil reserves. E
TEA [102]

The type of bias in this survey is question-wording bias because the question is influencing the response (option D).

Question-wording bias occurs when the words selected in the question influence a specific response. Here is one example:

  • Do you believe a cruel practice such as bullfighting should be forbidden?

In this question, the use of the word cruel qualifies bullfighting as negative, and therefore in most cases, people will answer that bullfighting should be forbidden.

This effect occurs in the question for this survey because the section given that an increase in drilling could result in increased tax revenue and additional jobs to the region indirectly states drilling is positive and therefore influences the response of those surveyed.

Note: This question is incomplete because some of the options are missing; here are the complete options:

What type of bias could be most likely affecting the survey results?

A. This is undercoverage bias because some segments of the population will be excluded from the sample.

B. This is response bias because those selected for the survey may not provide truthful opinions about oil drilling.

C. This is voluntary response bias because those most passionate about drilling will be more likely to register an opinion.

D. This is question-wording bias because the information given at the start of the question may lead those surveyed towards a desired response.

Learn more about bias in: brainly.com/question/6078134

3 0
3 years ago
5.6 cm<br> 8.2 cm<br> Area =_______
katovenus [111]

Answer:

Hello! answer: 22.96

Step-by-step explanation:

Area is base × height × 1/2 or base × height ÷ 2

Im going to use the second method.

8.2 × 5.6 = 45.92 45.92 ÷ 2 = 22.96 therefore the answer is 22.96

8 0
3 years ago
Read 2 more answers
Todd is 10 years older than Jamal. The sum of their ages is 64. How old are Todd and Jamal?
ryzh [129]
Todd is 37 and Jamal is 27
8 0
3 years ago
Read 2 more answers
The circumference (C) of a circle is 16 cm. Which formula can you use to find the diameter (d) if you know that C = π d?
Zigmanuir [339]
You should get 5.09! Hope this helps!!!
5 0
4 years ago
It takes 8 people to clear an acre of weeds in 4 hours. How many acres can 16 people clear in 4 hours? How many acres can 2 peop
Stella [2.4K]

It will take 2 hours for 16 people to clear an acre of weeds, and 8 hours for 2 people to clear an acre of weeds.

5 0
3 years ago
Other questions:
  • What is the monthly payment for a $20,230 loan at 11.5 percent for 20 years?
    5·1 answer
  • Square
    8·1 answer
  • Find the annual interest rate paid on this loan:<br> interest=$75 principal=$5,000 time=3 months
    15·1 answer
  • The following data represent the number of people aged 25 to 64 years covered by health insurance (private or government) in 201
    14·2 answers
  • Which algebraic expression is equivalent to the expression below?
    13·1 answer
  • What is 5/24 simplified in lower terms
    11·2 answers
  • Josh finished 24 math problems and 60 minutes at this rate how many minutes will it take him to complete 72 problems
    10·1 answer
  • Use cos to solve for a(please no links and show work)
    9·1 answer
  • Make a number line and show all values of x. x≤2 and x&lt; -5
    7·2 answers
  • Match the expression is equivalent to 5(2x+3) when using the distributive property?
    11·1 answer
Add answer
Login
Not registered? Fast signup
Signup
Login Signup
Ask question!