1answer.
Ask question
Login Signup
Ask question
All categories
  • English
  • Mathematics
  • Social Studies
  • Business
  • History
  • Health
  • Geography
  • Biology
  • Physics
  • Chemistry
  • Computers and Technology
  • Arts
  • World Languages
  • Spanish
  • French
  • German
  • Advanced Placement (AP)
  • SAT
  • Medicine
  • Law
  • Engineering
NeX [460]
3 years ago
8

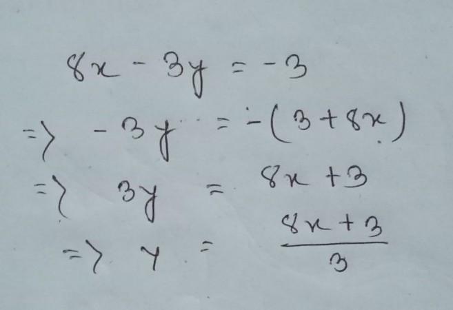
8x - 3y = -3, solve for y (work needed)​

Mathematics
1 answer:
IRINA_888 [86]3 years ago
3 0

Answer:

...... . ... ..

.

.

.

. I think It helps you

:-))

You might be interested in
Please help me, i have a test soon and i don’t understand this!
IrinaVladis [17]

Answer:

456,000,000

Step-by-step explanation:

Sorry if this is wrong  :(

Bye, have a good Day/Night  :)

3 0
3 years ago
Read 2 more answers
X f(x)
fgiga [73]
B) f(x) = 3

It’s because all the y values are 3
5 0
3 years ago
4, 5, 3, 3, 1, 2, 3, 2, 4, 8, 2, 4, 4, 5, 2, 3, 6,2
Anna007 [38]

Answer:

<u>Given data:</u>

  • 4, 5, 3, 3, 1, 2, 3, 2, 4, 8, 2, 4, 4, 5, 2, 3, 6,2

<u>Put the data in the ascending order:</u>

  • 1, 2, 2, 2, 2, 2, 3, 3, 3, 3, 4, 4, 4, 4, 5, 5, 6, 8

<u>Mean, the average:</u>

  • (1 + 2*5 + 3*4 + 4*4 + 5*2 + 6 + 8)/18 = 3.5

<u>Median, average of middle two numbers:</u>

  • 3

<u>Mode, the most repeated number:</u>

  • 2 (repeated 5 times)

Mean is normally the best measure of central tendency, same applies to this data.

6 0
3 years ago
Read 2 more answers
What is the value of the expression 2/5+3/7
Ray Of Light [21]

Answer:

29/35

Step-by-step explanation:

4 0
3 years ago
Read 2 more answers
A standard number die is tossed. Find P(4 or even).
zmey [24]

Answer:

50%

Step-by-step explanation:

4 0
3 years ago
Other questions:
  • If you put a down payment on a house of less than 20% of its value you typically have to pay
    14·2 answers
  • Y ∝ 1 √ x If y = 5 when x = 49 find, y when x = 25
    15·1 answer
  • Please help me I'll give brainliest
    5·1 answer
  • Find this awnser and ur the best​
    14·1 answer
  • Let a[0 . . . n] be an array of n + 1 natural numbers not exceeding n. let k &lt; n be an integer such that the values of any tw
    9·1 answer
  • Please Help!!!!!<br> Prove that polynomials are not closed under division.
    9·1 answer
  • need help ASAP !! A line segment has endpoints(3,14) and (3,22) which of the following statements is true?
    13·1 answer
  • 33. A labourer is engaged for 20 days on the condition that he will receive 120 for each day he
    12·1 answer
  • Please solve math problem for me... I will mark you brainliest
    14·1 answer
  • Is 21/2:3 and 16:6 equivalent
    11·1 answer
Add answer
Login
Not registered? Fast signup
Signup
Login Signup
Ask question!