1answer.
Ask question
Login Signup
Ask question
All categories
  • English
  • Mathematics
  • Social Studies
  • Business
  • History
  • Health
  • Geography
  • Biology
  • Physics
  • Chemistry
  • Computers and Technology
  • Arts
  • World Languages
  • Spanish
  • French
  • German
  • Advanced Placement (AP)
  • SAT
  • Medicine
  • Law
  • Engineering
faltersainse [42]
3 years ago
11

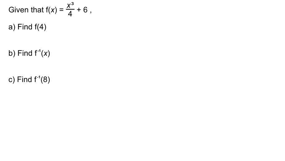
Functions ! will give brainliest

Mathematics
1 answer:
Mandarinka [93]3 years ago
5 0

Answer:

b) f^-1(x)= ∛(4x-24)

c)2

Step-by-step explanation:

these ones are inverse functions

change the f(x) for y and make x the subject

y= x³/4 +6

(y-6)x 4 = x³

∛(4y-24)= x

then put x back were y is

f^-1(x)= ∛(4x-24)

and to do c just put in 8 where x is

∛(4(8)-24)= 2

You might be interested in
Write the equation in factored form, then sketch.F(x)=x^3+4x^2-7x-10
slamgirl [31]
The answer for when you factor the question is:

(x-2)(x+1)(x+5)
6 0
3 years ago
Here is a table of values for y = f(x).
Vladimir79 [104]
I think the answer is 10-11
6 0
3 years ago
I WILL GIVE YOU 3 COOKIES IF YOU CAN ANSWER THIS QUESTION CORRECTLY
riadik2000 [5.3K]

Answer:

251.2

I used 3.14 as pi

Step by step explanation:

SA= 2(pi*r²) + (pi*d)h

SA= 2 (\pi * 4² ) + (pi*8)*6

<u>you could also do this:</u>

SA=2πrh + 2πr²

7 0
4 years ago
Read 2 more answers
Cho x,y thuộc n thoả mãn x hia 3 dư 1,y chia 3 dư 2.hỏi x.y chia 3 có số dư bằng bao nhiêu
Strike441 [17]

Answer:

2

Step-by-step explanation:

x÷3 dư 1-->x=3a+1

y÷3 dư 2-->y=3b+2

x×y=(3a+1)×(3b+2)

=9ab+6a+3b+2

Mà 9ab, 6a, 3b chia hết cho 3, 2 chia 3 dư 1

==>x×y chia 3 dư 2

8 0
3 years ago
How does the 2 in the hundredths place compare to the 2 in the thousandths place?
dybincka [34]

Answer:

2 in the hundredths place is greater

Step-by-step explanation:

2 in the hundredths place is 10 times the thousands place

7 0
4 years ago
Other questions:
  • What is the standard form of the equation?
    7·1 answer
  • In the mythical kingdom of
    8·1 answer
  • Please help!! will make branliest!!
    11·1 answer
  • Can someone please help me with this I don’t get it
    7·2 answers
  • Create your own unit rate example in which you have to determine the unit rate of two fractions with different units. Explain wh
    8·1 answer
  • Consider the following probability distribution of the daily profit of a bakery.
    15·1 answer
  • A cylindrical tank (with dimensions shown below) contains water that is 1-foot deep. If water is poure
    15·1 answer
  • I need help finding the quotients thank you to whoever helps/answers:)
    11·1 answer
  • Katoomba Scenic Railway in Australia is the steepest railway in the world. The railway makes an angle of about 52 degrees with t
    13·1 answer
  • How do I solve 3/4m - 1/12m = 7/8?? (This is a linear equation problem btw if you didn’t know).
    14·1 answer
Add answer
Login
Not registered? Fast signup
Signup
Login Signup
Ask question!