1answer.
Ask question
Login Signup
Ask question
All categories
  • English
  • Mathematics
  • Social Studies
  • Business
  • History
  • Health
  • Geography
  • Biology
  • Physics
  • Chemistry
  • Computers and Technology
  • Arts
  • World Languages
  • Spanish
  • French
  • German
  • Advanced Placement (AP)
  • SAT
  • Medicine
  • Law
  • Engineering
Gnesinka [82]
3 years ago
11

53 POINTS!!!!!!!!!!!!!

Mathematics
2 answers:
Katen [24]3 years ago
7 0
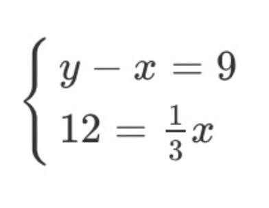
Y=1/3x-9 that’s the answer
lesya [120]3 years ago
6 0
X=36
y=45
I don’t know which way you want me to slice this problem
You might be interested in
Name the fraction equivalent to 20 over 6
navik [9.2K]
10/3. To find this answer you have to either multiply or divide by a specific number. You choose the number that goes into each of them. In this case I divided by 2 to both the top and bottom number. When I did this I got the answer of 10/3 

8 0
3 years ago
Read 2 more answers
Standard notation 9x10 to the 2 power
Airida [17]

Answer:

it is 900

Step-by-step explanation:

6 0
4 years ago
Read 2 more answers
PLEASE HELP ME REALLY REALLT REALLY FAST AND SHOW YOUR WORK
insens350 [35]

Answer: 27

Step-by-step explanation:

3 0
3 years ago
PLS ANSWER QUICK
iragen [17]

Answer:

a

Step-by-step explanation:

4 0
3 years ago
Read 2 more answers
Mhanifa please help! Explain how you can use the perpendicular bisector of a segment to draw an isosceles triangle.
Anna007 [38]

Answer:

If you construct the perpendicular bisector of a line segment, every point on the perpendicular bisector will be the same distance from both point A and point B.

To construct an isosceles triangle, you can start from any point on the perpendicular bisector and draw line segments to point A and to point B

7 0
3 years ago
Other questions:
  • Sarah's parents started a savings account for her when she was 12. The plan her parents chose earns 3.2% each year, and her pare
    9·1 answer
  • Simplify (14x+14)(2x+8)
    8·2 answers
  • What is the sum of the series?
    9·1 answer
  • Cable television company charge $20.50 per month last year for premium channels this year they are having a special and are char
    8·1 answer
  • One of the smallest pools on the ship has about 45,000 gallons of water in it.
    11·1 answer
  • How do u skip count in 3
    8·2 answers
  • A(t+z) = 45z + 67 Solve for Z
    10·1 answer
  • Tanx cscx= 1/f(x)<br>simplify and write the trigonometric expression in terms of sine and cosine​
    14·1 answer
  • which line is parallel to the line whose equation is 4x 3y = 7, and also passes through the point (- 5, 2)?
    6·1 answer
  • A graph is shown below <br> what is the equation of the line in slope intercept form HELP ASAP
    6·1 answer
Add answer
Login
Not registered? Fast signup
Signup
Login Signup
Ask question!