Answer with Step-by-step explanation:
We are given that
u+ v and u-v are orthogonal
We have to prove that u and v must have the same length.
When two vector a and b are orthogonal then

By using the property

We know that



Magnitude is always positive
When power of base on both sides are equal then base will be equal
Therefore,

Hence, the length of vectors u and v must have the same length.
Answer:
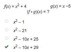
is there a picture that goes with this?
Step-by-step explanation:
Answer:
12.) b = (2S/n) - a
13.) x = 1000 - 20y
Step-by-step explanation:
12.) *goal is to isolate b
S = n/2 (a + b)
S(2/n) = a + b
**multiply both sides by 2/n to get rid of n/2
(2S/n) - a= b
***subtract a from both sides to leave b alone on one side
13.) *goal is to isolate x
0.30x + 6y = 300
0.30x = 300 - 6y
** subtract 6y from both sides
x = (300 - 6y)/ 0.30
*** divide 0.30 from both sides to leave x bu itself
x = 1000 - 20y or -20y +1000
****300 ÷ 0.30 = 1000
-6 ÷ 0.30 = -20
Done!
Answer:
12x-8y
Step-by-step explanation:
10x+2x=12x
-5y-3y=-8y