1answer.
Ask question
Login Signup
Ask question
All categories
  • English
  • Mathematics
  • Social Studies
  • Business
  • History
  • Health
  • Geography
  • Biology
  • Physics
  • Chemistry
  • Computers and Technology
  • Arts
  • World Languages
  • Spanish
  • French
  • German
  • Advanced Placement (AP)
  • SAT
  • Medicine
  • Law
  • Engineering
Mariulka [41]
3 years ago
13

What is the name of the molecular compound, P^4O^8?

Chemistry
1 answer:
Schach [20]3 years ago
7 0

Answer:

Tetraphosphorus Octaoxide

Explanation:

You might be interested in
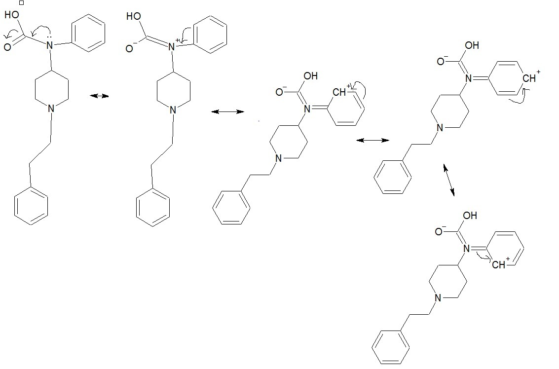
I’m doing a molecular protfolio on Fentanyl, and I can’t get a definite answer on its polarity or its solubility. Any help is ap
densk [106]

Answer: Fentanyl is a polar molecule.

Explanation:

Oxygen being electro-negative will attract electron pairs towards itself and partial positive charge will generate on carbon atom in (C=O) bond.

Due to partial positive charge on carbon atom of (C=O) group will tend to attract electron pairs from its neighboring atoms by which lone pair on nitrogen atom will come in conjugation with (C=O) group which leaves partial positive charge on nitrogen atom.

Now partial positive charge is on the nitrogen atom which will further withdraws the electron density from the phenyl ring attached to it and positive charge will get de-localize at ortho and para positions in phenyl ring.

Hence, making the molecule of fentanyl polar.

8 0
3 years ago
You are given two solutions.
Soloha48 [4]
They are the same type of concentration
8 0
4 years ago
What is the difference between a scientist theory and a scientific law
Andru [333]

Answer:

A scientific theory is a widely accepted belief on why something happens in the natural world while a scientific law is proven to a fact that shows what happens.

Explanation:

3 0
3 years ago
2. The following reaction takes place in a galvanic cell: 2Al(s) + 3Cu² (aq) → 2Al(aq) + 2Cu(s)
pychu [463]

The  standard cell potential is obtained from the equation of the reaction.

<h3>What is the  standard cell potential?</h3>

The  standard cell potential is obtained from the equation of the reaction. Now we have the overall cell equation as from the half reactions as;

Oxidation half reaction;

Al(s) --->Al³+ (aq) + 3 e

Reduction half equation;

Cu²+ (aq) + 2 e →→ Cu(s)

Standard cell potential Eºcell = 0.34V - (-1.66 V) = 2 V

Now;

ΔG = -nFEcell

ΔG = -(2 * 6 * 96500 * 2)

ΔG = -2316kJ

E = 2 - 0.0592/6 log [0.0025]/[3.5 M]

E = 2 + 0.031

E = 2.031 V

Learn more about standard cell potential:brainly.com/question/14240930

#SPJ1

8 0
2 years ago
Pls do this question
Tanya [424]

Answer:

the correct answer would be B(diffusion). please mark brainliest

Explanation : diffusion is the net movement of molecules from an area where they are at a higher concentration to areas where they are at a lower concentration. the smell simply moves around the room. hopefully this helps

4 0
3 years ago
Other questions:
  • What is the name of this compound?<br><br> 2-butanone<br> 2-pentanone<br> 4-pentanone<br> 4-butanone
    7·2 answers
  • Perform the following
    10·1 answer
  • Can something be both a mixture and a pure substance? Explain using examples.
    11·1 answer
  • How do I do question number 4?
    9·1 answer
  • How is the use of the word<br> theory in science different from its more<br> common use?
    6·1 answer
  • The density of honey is 1.42 g/mL. If you poured honey into a glass of water, would it sink to the bottom or float on top? Expla
    11·1 answer
  • Which statement best describes the density of an atom's nucleus?
    5·1 answer
  • A sample of oxygen gas occupies a volume of 160 liters at 364 K. What will be the volume of the gas when the temperature drops t
    10·1 answer
  • Chemical equations are used to model
    13·1 answer
  • Please help me with this net ionic chem question. I’ll mark you brainiest if you know it.
    5·1 answer
Add answer
Login
Not registered? Fast signup
Signup
Login Signup
Ask question!