1answer.
Ask question
Login Signup
Ask question
All categories
  • English
  • Mathematics
  • Social Studies
  • Business
  • History
  • Health
  • Geography
  • Biology
  • Physics
  • Chemistry
  • Computers and Technology
  • Arts
  • World Languages
  • Spanish
  • French
  • German
  • Advanced Placement (AP)
  • SAT
  • Medicine
  • Law
  • Engineering
AVprozaik [17]
3 years ago
11

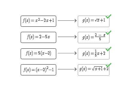
Match each function with its inverse function. Use function composition to determine your answers.

Mathematics
2 answers:
kow [346]3 years ago
6 0

Answer:

For f(x) =  x^2 - 2x + 1, the inverse is g(x) = √x + 1

For f(x) = 2 - 5*x the inverse is g(x) = (2 - x)/5

For f(x) =  5*(x - 2) the inverse is g(x) = x*(1/5) + 2

for f(x) = (x - 2)^2 - 1 the inverse is g(x) = √(x + 1) + 2

Step-by-step explanation:

If we have two functions f(x) and g(x) such that these functions are inverse, then we have:

f( g(x)) = x

and

g( f(x)) = x

Let's start with the function:

f(x) = x^2 - 2x + 1

Notice that we can rewrite this as:

f(x) = x^2 - 2*x + 1 = (x - 1)^2

Because this is a quadratic function, the inverse function needs to have a square root, then the inverse function can be the third or fourth one.

Let's try with the last one:

g(x) = √x + 1

Then:

f( g(x)) = ( √x + 1 - 1)^2 = (√x )^2 = x

g( f(x)) = √(x - 1)^2 + 1 = (x - 1) + 1 = x

Then for the function:

f(x) = x^2 - 2x + 1, the inverse is: g(x) = √x + 1

Now let's find the inverse for the second function:

f(x) = 2 - 5*x

The inverse of this function will be also a linear function, and the slope of the inverse will be the inverse of this slope, then the inverse may be the first or second options.

Let's try with:

g(x) = (1/5)*x - 2

Then:

f( g(x) ) = 2 - 5*((1/5)*x - 2) = 2 - x + 10

Then this g(x) is not the inverse of the function.

Let's try with g(x) = (2 - x)/5

Then:

f( g(x)) = 2 - 5*(2 - x)/5 = 2 - 2 + x = x

g( f(x)) =  (2 - 2 - 5*x)/5 = 5*x/5 = x

For the function f(x) = 5*(x - 2)

The inverse should be the remaining linear function:

g(x) = x*(1/5) + 2

Then:

f( g(x)) = 5*(x*(1/5) + 2 - 2) = 5*x*(1/5) = x

g( f(x)) = (5*(x - 2) )*(1/5) + 2 = (x - 2) +2 = x

For the last function, f(x) = (x - 2)^2 - 1

The inverse function will be:

g(x) = √(x + 1) + 2

The compositions are:

f( g(x)) = (√(x + 1) + 2 - 2)^2 - 1 = (√(x + 1))^2 - 1 = (x + 1) - 1 = x

g(f(x)) = √((x - 2)^2 - 1 + 1) + 2 = √((x - 2)^2 + 2 = x

viktelen [127]3 years ago
4 0

Answer:

PLATO ANSWER

Step-by-step explanation:

You might be interested in
Cisco wants to purchase three items at the sporting goods store. The items he wants to buy are football pants for $21.99, footba
Sergeeva-Olga [200]

Answer: \$73.43

Step-by-step explanation:

According to the information provided in the exercise, the prices of each item he wants to purchase in the sporting goods store are:

Football\ pants=\$21.99\\\\ Football\ pads=\$25.95\\\\Football\ cleats=\$25.49

Therefore you need to add these prices to solve this exercise. The sum will be the total cost for these three items.

You get that the sum is:

Total\ cost=\$21.99+\$25.95+\$25.49\\\\Total\ cost=\$73.43

Then, the three items that Cisco wants to purchase will cost $73.43.

8 0
4 years ago
A salad dressing recipe requires at least 8 oz of oil to be combined with some combination of vinegar and lemon juice in a 16 oz
valentina_108 [34]

Let x represent the number of ounces of vinegar

Let y represent the number of ounces of lemon juice

Oil required = 8 oz

Container can hold = 16 oz

So the inequality equation will be :

x+y+8\geq16

6 0
3 years ago
<img src="https://tex.z-dn.net/?f=f%28x%29%3De%5E%7B3x%7D%20.sinx" id="TexFormula1" title="f(x)=e^{3x} .sinx" alt="f(x)=e^{3x} .
Maslowich

Answer:

6

Step-by-step explanation:

đạo hàm cấp 2 của f(x) rồi thế 0 vào

8 0
3 years ago
A dealer gains 16% by selling a mop for rs.78300.but due to competition in the market, he decides to make a profit of only 10%.
vesna_86 [32]

Answer:

The correct answer is -  72,349.2

Step-by-step explanation:

Given:

selling price = 7234.92

Initial profit = 16%

we know:

selling price = cost price + profit

Solution:

78300 = cp + 16*cp/100

profit = 78300*16/100 = 12528

cost price = 78300 - 12528 = 65772

then the profit on 10%

= 65772*10/100

= 6577.2

the new selling price = 65772+6577.2

= 72,349.2

3 0
3 years ago
How do I do 3? Thanks a bunch
Nataly_w [17]
A does

Hope that helps!


5 0
3 years ago
Other questions:
  • What is the square root of 638
    5·1 answer
  • What is 1/2×( 3y)(4z)
    9·1 answer
  • What is the distance between the points (0,5) and (8,0)?
    5·1 answer
  • What is wrong with this “proof”? “Theorem” For every positive integer n, if x and y are positive integers with max(x, y) = n, th
    14·1 answer
  • I need help on this one ?
    5·1 answer
  • Solve the following problems:
    15·1 answer
  • Please help me for 20 points
    7·2 answers
  • How do I find the value of x?
    8·1 answer
  • 8.4 + 0.001 + 75.02 + 34.925 + 3.15 = __________
    10·2 answers
  • Which scatter plot best illustrates a strong positive correlation?
    15·1 answer
Add answer
Login
Not registered? Fast signup
Signup
Login Signup
Ask question!