1answer.
Ask question
Login Signup
Ask question
All categories
  • English
  • Mathematics
  • Social Studies
  • Business
  • History
  • Health
  • Geography
  • Biology
  • Physics
  • Chemistry
  • Computers and Technology
  • Arts
  • World Languages
  • Spanish
  • French
  • German
  • Advanced Placement (AP)
  • SAT
  • Medicine
  • Law
  • Engineering
jarptica [38.1K]
3 years ago
15

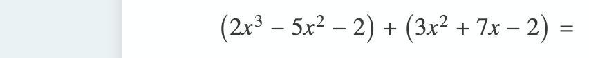
PLEASE HELP MATH QUIZ

Mathematics
1 answer:
morpeh [17]3 years ago
3 0

This simplifies to 5x^3-5x^2+7x-4.

You might be interested in
Pls help Describe how to find the product of the two terms 3x^2y^5 and 4x^3y^7
zvonat [6]

Answer:

12 x^5y^12

Step-by-step explanation:

3x^2y^5 * 4x^3y^7

Multiply the constants

3*4 = 12

Multiply the x terms

x^2 * x^3

We know a^b* a^c = a^(b+c)

x^(2+3) = x^5

Multiply the y terms

y^6 * y^7 = y&(5+7) = y^12

Put them back together

12 x^5y^12

8 0
3 years ago
Read 2 more answers
Find all of the zeros of the function f(x)=x^3-17x^2+81x-65
viktelen [127]
A graph shows the function can be factored as
  f(x) = (x -1)((x-8)² +1)

There is one real root and there are two complex roots. The latter can be found from the vertex form factor:
  (x - 8)² + 1 = 0
  (x - 8)² = -1
  x - 8 = ±√(-1) = ±i
  x = 8 ± i

The zeros of the function are {1, 8-i, 8+i}.

4 0
3 years ago
Anyone one have the answer to this
OLEGan [10]

Answer: A. y= 5x(x-2)

Step-by-step explanation:

To begin with, this graph has two X values, making it a parabola

Parabola's are NOT linear.

4 0
3 years ago
What is 1/2 ÷ 10?<br> What is 3÷ 1/6?
aev [14]
1/2 ÷10=1/20 because you multiply the bottoms

3÷1/6= 18 because it is the same as 3×6
3 0
3 years ago
Read 2 more answers
Please help this test is a big part of my grade!<br> (will give brainliest)
ziro4ka [17]

Answer:

It is D

Step-by-step explanation:
To move a point 2 units to the right (or to the right in any graph) we add a negative value to the x-value.

4 0
3 years ago
Other questions:
  • What two numbers multiply to 16 and add to 4?
    14·2 answers
  • Is the following relation a function? {(3, 2), (3, −2), (1, −4), (−1, 2)}
    8·1 answer
  • The section has a height of 7.5 cm. If the area of the section of glass is 17.25 cm2 , how long is the base of the section?
    12·1 answer
  • Solve 1.3 - 5g = 7.4 Show all work and check the solution
    15·2 answers
  • Find the mean 5575 5617 3324 7860 494 3204 275 6899 578
    15·1 answer
  • PLEASE HELP PLEASE!!!!!!!!!!! BRAINLIEST AND WHATEVER YOU WANT! THIS IS DUE RIGHT NOW
    10·2 answers
  • An Item is priced at $14.91. If the sales tax is 4%, what does the item cost including the tax? A. 30.42 B. $0.60 C.$15.51 D. $2
    12·1 answer
  • Not all visitors to a certain company's website are customers. In fact, the website administrator estimates that about 5% of all
    13·1 answer
  • When Ranim started karate, her highest kick went 110^\circ110 ∘ 110, degrees from the ground. Her instructor asked her to practi
    7·1 answer
  • <img src="https://tex.z-dn.net/?f=5%20%5Cdiv%202%20%5Csqrt%7B2%7D%20" id="TexFormula1" title="5 \div 2 \sqrt{2} " alt="5 \div 2
    13·2 answers
Add answer
Login
Not registered? Fast signup
Signup
Login Signup
Ask question!