Answer:
0.12
hope this is the answer you are looking for
Step-by-step explanation:
The answer is A.
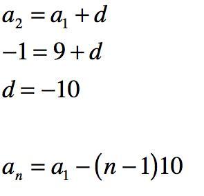
See the attached photo for the steps, and let me know if you have any questions!
Answer:
The null hypothesis is 
Step-by-step explanation:
According to the Centers for Disease Control and Prevention, the proportion of U.S. adults age 25 or older who smoke is .22
This means that at the null hypothesis, it is tested if the proportion is in fact 0.22, that is:

A researcher suspects that the rate is lower among U.S. adults 25 or older who have a bachelor's degree or higher education level.
At the alternative hypothesis, it is tested if the proportion is lower than 0.22, that is:

Answer:

Step-by-step explanation:

Distribute 2 through the parentheses

Add the like terms : 6x and 4x
Like terms are those which have the same base.

The negative integers are always but added but posses the negative ( - ) sign.

Hope I helped!
Best regards! :D
~
The answer is 6/21 is not in its simplest form as you can still divide them both by 3