Answer:
a) 14.3589 min
b) 18.8805 min
Step-by-step explanation:
The mean is the sum of all values divided by the number of values:
x' = -0.19 + 0.78 + 0.96 + 1.31 + + 32.52 + 33.91 + 36.71 + 72.89/19
= 272.82/ 19
= 14.3589
n is the number of values in the data set.
n = 19
The variance is the sum of squared deviations from the mean divided by n — 1. The standard deviation is the square root of the variance:
s = 
ALTERNATIVE METHOD FOR SAMPLE STANDARD DEVIATION
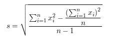
You can also determine the sample standard deviation using the formula:
formula is attached
Determine the two sums:
∑x_i = 0.19 + 0.78 + 0.96 + 1.31 + + 32.52 + 33.91 + 36.71 + 72.89 = 272.82
∑x_i^2 = 0.19^2 + 0.78^2 + 0.96^2 + 1.31^2 + 32.52^2 + 33.91^2 + 36.71^2 + 72.89^2 = 10333.8964
Using the formula with n = 19, we then obtain:
find the attachment
= 18.8805