Answer:
Step-by-step explanation:
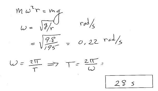
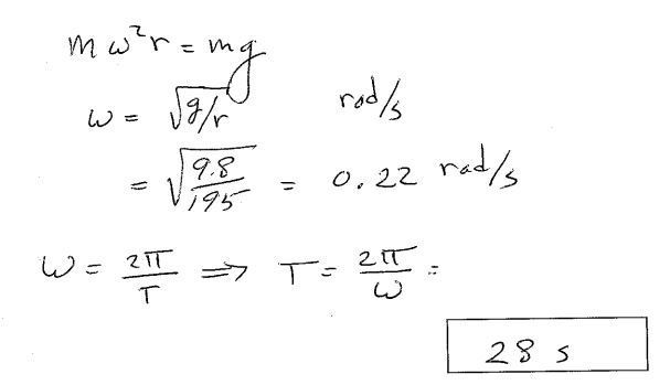
See attachment.
If both cyclists travel for the same time and speed, they will have travelled the same distance. Since one is headed north and the other east, we can see that the distance between them in one hour is the hypotenuse of a right triangle. Each leg has distance x. We can say x^2 + x^2 = (3
)^2
2x^2 =1 8
x^2 = 9
x = 3
They both rode 3 miles.
V100 Units I hope that's help
Answer:2 red squares
Step-by-step explanation:
8*.25
2
Answer: 
Step-by-step explanation:
