1answer.
Ask question
Login Signup
Ask question
All categories
  • English
  • Mathematics
  • Social Studies
  • Business
  • History
  • Health
  • Geography
  • Biology
  • Physics
  • Chemistry
  • Computers and Technology
  • Arts
  • World Languages
  • Spanish
  • French
  • German
  • Advanced Placement (AP)
  • SAT
  • Medicine
  • Law
  • Engineering
dedylja [7]
3 years ago
15

Correct Answer Gets Brainleist + 15 points. (Please Help..)

Mathematics
1 answer:
Annette [7]3 years ago
5 0

Answer:

You need to divide by the cost of children and adults by their per cost to total

You might be interested in
It has been reported that 5% of all undergraduate students in the U.S. who take an introductory statistics course will continue
sasho [114]

Answer:

(1) All undergraduate students in the U.S. who took an introductory statistics course.

(2) a parameter, because it is a numerical summary for a population.

(3) a statistic, because it is a numerical summary for a sample.

Step-by-step explanation:

We are given that it has been reported that 5% of all undergraduate students in the U.S. who take an introductory statistics course will continue their education in statistics.

A random sample of 400 students from this list was selected. Of the 400 undergraduate students, 80 (or 20%) did continue their education in statistics.

(1) In this study, the population of interest is;

All undergraduate students in the U.S. who took an introductory statistics course because the researcher believes that the value which has been reported is too low for the recent undergraduate students who have taken an introductory statistics course at his university.

(2) In this study, the 5% value could be considered a parameter, because it is a numerical summary for a population which states that this value represents all undergraduate students in the U.S. who take an introductory statistics course will continue their education in statistics.

(3) In this study, the 20% value can be considered a statistic, because it is a numerical summary for a sample which represents the % of students who did continue their education in statistics out of the 400 selected undergraduate students.

6 0
4 years ago
Which statement is true about solutions to x-8<9
xenn [34]

Answer:

..................................................................................................................

Step-by-step explanation:

7 0
3 years ago
DE=4x+10, EF=2x-1, and DF=9x-15, find DF
masya89 [10]

DE and EF are segments of the line DF, so they will add up to DF. This can be represented with this equation:

(4x + 10) + (2x - 1) = 9x - 15

Combine like terms:

4x + 2x = 6x

10 + (-1) = 9

6x + 9 = 9x - 15

Add 15 to both sides:

6x + 24 = 9x

Subtract 6x from both sides:

24 = 3x

Divide both sides by 3 to get x by itself:

\boxed{x = 8}

The value of x will be 8.

Plug this value of x into the expression for DF:

9(8) - 15 = 72 - 15 = \boxed{57}

DF will equal 57.

3 0
3 years ago
HELP PLEASE!
MissTica
First, we need to get rid of the parentheses. We do this by dividing by four. Remember that, because multiplication and division distribute, we will need to divide each term by four.

1/4 (20 - 4a) = 6 - a

20/4 - 4a/4 = 6 - a

5 - a = 6 - a

Now, we need to get "a" by itself, so we add a to both sides.

5 - a + a = 6 - a + a

Add like terms.

5 = 6

Because this is not a true statement, there is no solution.
7 0
3 years ago
Read 2 more answers
In Applied Life Data Analysis (Wiley, 1982), Wayne Nelson presents the breakdown time of an insulating fluid between electrodes
Alla [95]

Answer:

a) 14.3589 min  

b) 18.8805 min

Step-by-step explanation:

The mean is the sum of all values divided by the number of values:  

x' = -0.19 + 0.78 + 0.96 + 1.31 + + 32.52 + 33.91 + 36.71 + 72.89/19

   = 272.82/ 19

   = 14.3589  

n is the number of values in the data set.  

n = 19  

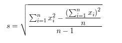
The variance is the sum of squared deviations from the mean divided by n — 1. The standard deviation is the square root of the variance:  

s = \sqrt{(0.19-14.3589)^2} +...+(72.89-14.3589)^2/19-1\\              = 18.8805

ALTERNATIVE METHOD FOR SAMPLE STANDARD DEVIATION  

You can also determine the sample standard deviation using the formula:  

formula is attached

Determine the two sums:

∑x_i = 0.19 + 0.78 + 0.96 + 1.31 + + 32.52 + 33.91 + 36.71 + 72.89 = 272.82

∑x_i^2 = 0.19^2 + 0.78^2 + 0.96^2 + 1.31^2 + 32.52^2 + 33.91^2 + 36.71^2 + 72.89^2 = 10333.8964

Using the formula with n = 19, we then obtain:

find the attachment

= 18.8805

 

8 0
3 years ago
Other questions:
  • Find the measure of angle 1
    13·2 answers
  • By visual inspection determine the best fitting repression model for the scatterplot
    11·1 answer
  • What are the possible values of x in 6x^2 + 432 = 0
    5·1 answer
  • Which equation represents the line that is perpendicular to y = 1/4 and passes through (-6,-9)
    14·1 answer
  • 3x6 distributive property
    15·1 answer
  • Evaluate the following |13-15|-|15|​
    15·1 answer
  • Forty thousands equal
    5·1 answer
  • Lilly has 38 baseballs. She places all the baseballs into one or more containers. Lilly places the same number of baseballs into
    7·2 answers
  • Hi there I don't usually ask questions but I'm having a bit of trouble solving for X on this equation. 1+(3x-3)=1 You don't nece
    9·2 answers
  • Jared wants to paint his room. The dimensions of the room are 12 feet by 15 feet, and the walls are 9 feet tall. There are two w
    13·2 answers
Add answer
Login
Not registered? Fast signup
Signup
Login Signup
Ask question!